Home / Technical Notes / Electromagnetic analysis / General / Differential Equations in Electromagnetic Analysis
Differential Equations in Electromagnetic Analysis
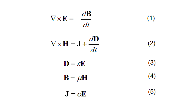
Maxwell's equations are solved in the electromagnetic analysis.
In the resonant analysis, harmonic analysis, and waveguide analysis, the equations are solved in the frequency domain assuming the sine wave.

|
E |
: Electric field |
ε |
: Permittivity |
|
B |
: Magnetic flux density |
μ |
: Permeability |
|
D |
: Electric flux density |
σ |
: Conductivity |
|
H |
: Magnetic field |
|
|
|
J |
: Current density |
|


