Home / Technical Notes / Acoustic Analysis / Differential Equations in Acoustic Analysis
Differential Equations Solved in the Acoustic Analysis



ρ: Density
v: Particle velocity
p: Sound pressure
k: Constant of proportionality of the time derivatives of density and pressure
Femtet Solver "Mach" solves Equations (1), (2) and (3) to obtain the sound pressure p and the particle velocity v.
The angular frequency ω. is given and harmonic analysis is performed.
Equation (1) is Newton's second law of motion
Equation (2) is the continuity equation.
Equation (3) expresses the relation between the time derivatives of density and pressure.
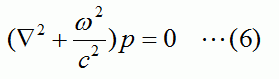
Governing Equation
Solver "Mach" solves the Helmholtz equation (6), which is derived from Equations (1), (2) and (3).
See <How to derive Equations (6) and (7)> below.


ω: Angular frequency
c: Sound speed
p: Sound pressure
k: Constant
Once p is obtained, v can be obtained from Equation (7).
For a given angular frequency, Equation (1) becomes Equation (7).

v: Particle velocity
j: Imaginary unit
ω: Angular frequency
ρ: Density
p: Sound pressure
Some boundary conditions must be given to solve Equation (6').
Pressure: Magnitude and phase of the pressure are specified.
Speed: Magnitude and phase of the particle velocity are specified.
<How to derive Equations (6) and (7)>
Below is a process of deriving Equations (6) and (7), which solver "Mach" solves.
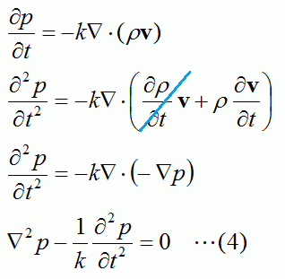
Equations (2) and (3) are combined and the first equation below is obtained.

In the second equation, the time derivative of ρ is ignored as it is significantly smaller than that of v.
Equation (1) is given to the second equation and the third equation is obtained.
The third equation is rewritten to yield the forth equation.
For a given angular frequency, Equation (4) becomes Equation (6).
Lossy medium
Define the sound speed c as a complex number to analyze the lossy medium.
Equation (1') is Newton's second law of motion for lossy medium.

ρ: Density
v: Particle velocity
p: Sound pressure
β: Damping factor
From Equation (1'), Equation (4') is obtained.

By defining c with Equation (5'), Equation (6) holds true for lossy media.

c: Sound speed
k: Constant
j: Imaginary unit
β: Damping factor
ω: Angular frequency
ρ: Density
The imaginary part is related to the loss due to the viscosity of medium.


