Home / Technical Notes / Piezoelectric Analysis / Differential Equations in Piezoelectric Analysis
Differential Equations Solved in the Piezoelectric Analysis
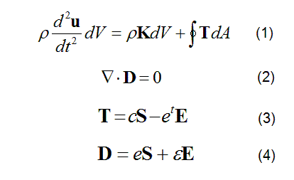
Equations below are solved in piezoelectric analysis.

Equation (1) is Equation of Motion.
Equation (2) is Gauss's law. It is assumed that there is no electric charge existing within the analysis region.
Equations (3) and (4) are the e-type piezoelectric equations.
|
u |
: Displacement |
ρ |
: Density |
|
K |
: Body force |
e |
: Piezoelectric constant |
|
D |
: Electric flux density |
ε |
: Permittivity |
|
S |
: Strain |
c |
: Elasticity |
|
E |
: Electric field |
|
(Stiffness) |
|
T |
: Stress |
|


