ホーム / テクニカルノート / 応力解析 / 非線形材料の解析 / 超弾性材料の応力解析
超弾性材料の応力解析
(注)超弾性解析は特別オプション機能です。
超弾性材料の解析
静解析、過渡解析で超弾性材料を使用した解析が可能になりました。
超弾性材料は、ゴム材料や発泡材料の大変形を解析するために使われます。
このページでは、超弾性材料の理論について記述しています。
超弾性材料を使用した例題は、「例題59 O-リングの圧縮解析」を参照してください。
ゴム材料の特徴
①大変形の領域ではひずみと応力が比例しない
単純な引張を加えた場合、
公称ひずみ:伸びを変形前の長さで割った値
公称応力:力を変形前の断面積で割った値
の関係は、線形弾性体では、ひずみと応力が比例しますが、超弾性体はひずみと応力が比例しません。

②力を加えた後、除荷するともとの形状に戻る
超弾性材料と同様にひずみと応力の関係が比例しない材料である、弾塑性材料、クリープ材料、粘弾性材料では、
除荷時にもひずみが残留し、元の形状とは異なる形状になる場合がありますが、
超弾性材料は弾性体としての性質を備えており、元の形状に戻ります。
③変形しても体積は変わらない
体積を変形させるような、静水圧をかけた場合、体積は変わらずに内部の応力だけが上昇していきます。
ポアソン比 = 0.5 に相当する材料となります。
変形が微小の場合には、便宜的に、ヤング率を設定し、ポアソン比を0.499とするなどして、
線形弾性体の解析を行うことができますが、数%以上の大きなひずみが発生すると、実際の変形と一致しなくなります。
発泡材料の特徴
発泡材料とは、スポンジのように内部に気孔が存在する多孔質材料のことで、
ゴム同様、変形の大きい材料です。
①大変形の領域ではひずみと応力が比例しない
②力を加えた後、除荷するともとの形状に戻る
③変形により体積が変わる
①②の特徴はゴム材料と同じですが、発泡材料では変形により体積が変わります。
ゴム材料を一方向に圧縮した場合、体積が一定になるように大きく横方向に広がりますが、
発泡材料では体積が小さくなり、横方向の広がりは小さくなります。
ひずみエネルギー関数
超弾性材料では、ひずみエネルギー関数Ψを用いて応力とひずみの関係を表現します。
応力Sは、ひずみエネルギー関数ΨとひずみEを用いて以下の形で表されます。
ひずみと応力は、互いにペアとなる、グリーン・ラグランジュひずみと第二ピオラ・キルヒホフ応力が使用されます。
ひずみエネルギー関数の定義式として、様々なモデルが提案されています。

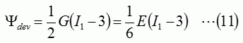
ひずみエネルギー関数は、体積変化を示す成分Uと、体積の変わらない変形を表す偏差成分Ψdevに分離して表現します。

大変形の領域の解析を行うため、超弾性の解析を行う場合には、大変形のオプションを使用します。
グリーン・ラグランジュひずみと第二ピオラ・キルヒホフ応力の関係を使用するため、トータル・ラグランジュの定式化を行います。
大変形については、「大変形(幾何学的非線形)の解析」を参照してください。
ゴム材料の非圧縮性の取り扱い
応力の非線形解析では、ひずみ増分δEと応力増分δSの関係が、弾性定数行列Cを使用して、1対1の関係で結ばれる前提でプログラムが組まれています。

非圧縮性仮定すると、ひずみ増分と応力増分を1対1の関係で結ぶことができなくなります。
例えば、非圧縮性の物体に静水圧をかけて行った場合、ひずみは常にゼロ(増分もゼロ)であるのに対して、
応力はかけた圧力に比例して大きくなっていきます(応力増分は非ゼロ)。
応力の非線形解析で超弾性材料のひずみ増分と応力増分が1対1の関係で結ばれるようにするために、
完全な非圧縮性ではなく、わずかな圧縮性を持たせた微圧縮性を考慮した解析を行います。
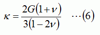
静水圧pと体積ひずみεvの比である、体積弾性率κを用いて微圧縮性を表現しています。
ここでは、εvの代わりに変形後の体積変化率Jを用いた表現を使用します。

ひずみエネルギー関数の体積成分Uは体積弾性率κ、変形後の体積変化率Jを用いて、以下のように表されます。

体積弾性率は、各モデルの微小領域でのせん断弾性率とポアソン比を用いて以下の式で表されます。
Femtetでは、非圧縮性パラメータとして、体積弾性率の代わりに、ポアソン比で設定します(自動の場合、ポアソン比0.499)。
体積弾性率は、各モデルのせん断弾性率(式(11)、(16)、(18))とポアソン比から計算されます。

※二次元の平面応力近似では、奥行き方向の応力=ゼロの制約を考慮することで、
ひずみと応力を1対1の関係で結ぶことができるため、完全な非圧縮性を考慮した解析となります。
伸長比(ストレッチ)と不変量
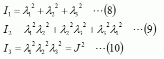
ひずみエネルギー関数は伸長比λ1、λ2、λ3、ひずみ不変量I1、I2、I3をパラメータとした式で定義されます。
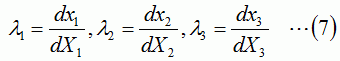
変形前の独立した3方向の長さdX1、dX2、dX3が、変形後に長さdx1、dx2、dx3に変化したときの、
それぞれの方向の長さ比を伸長比(ストレッチ)と呼びます。

また、伸長比から以下の不変量が定義されます。
物理的な解釈として、I1は長さ方向の変化量、I2は表面積の変化量、I3は体積変化量を表しています。

超弾性材料モデル
ひずみエネルギー関数の定義式として、様々なモデルが考案されています。
Femtetでは、ネオ・フック、ムーニー・リブリン、オグデンモデル、オグデン発泡材モデルの解析が可能です。
ネオ・フック、ムーニー・リブリン、オグデンモデルはゴム材料の解析に、オグデン発泡材モデルは発泡材料の解析に使われます。
ネオ・フックモデル

ガウス鎖モデルにより導かれます。
材料定数として、微小領域でのせん断弾性率G、もしくはヤング率Eがあれば、定義できるため、簡易的に解析する場合に便利です。
伸長比が1.3(引張公称ひずみが0.3)を超えると実際の変形と一致しなくなると言われています。
ムーニー・リブリンモデル

C10、C01:ムーニー・リブリンモデルの係数
材料が非圧縮であり、等方性である
せん断変形に対して線形である
という仮定の下で導かれます。
一般には上式をムーニー・リブリンモデルと呼びます。
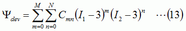
これを拡張した一般化ムーニー・リブリンモデルが以下の式になります。

Cmn:ムーニー・リブリンモデルの係数
m = n = 1 としたときのモデルが、式(12)のムーニー・リブリンモデルとなります。
Femtetでは1次のムーニー・リブリンモデルとして扱われます。
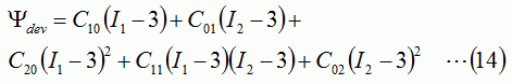
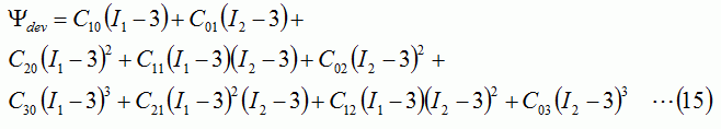
Femtetでは、m + n ≦ 2、m+n≦3 の項を使用した、2次、3次のムーニー・リブリン(14)、(15)を使用することができます。

C10、C01:ムーニー・リブリンモデル1次の係数
C20、C11、C02:ムーニー・リブリンモデル2次の係数

C10、C01:ムーニー・リブリンモデル1次の係数
C20、C11、C02:ムーニー・リブリンモデル2次の係数
C30、C21、C12、C03:ムーニー・リブリンモデル3次の係数
1次のムーニー・リブリンモデルでは、伸長比が5(引張公称ひずみが4)を超える高いひずみ領域の
挙動の再現が難しいと言われており、高次のムーリー・リブリンモデルを使うことにより、より高いひずみ領域での
挙動を再現することができます。
ムーニー・リブリンモデルでは、次数に関わらず、微小変形時のせん断弾性率は、以下の式で表されます。
それぞれの係数は、負の値を設定することができますが、以下の式が0より大きい値になるように設定する必要があります。

オグデンモデル

μi、αi:オグデンモデルの係数
数学的なアプローチから導かれているため、物理的イメージが明確ではありませんが、
項数Nを増やすことで、高ひずみ領域の挙動も精度良く再現できるのが特徴です。
Femtetでは、最大で4つの項を使用できます。
オグデンモデルでは、微小変形時のせん断弾性率は、以下の式で表されます。
それぞれの係数μi、αiは、負の値を設定することができますが、以下の式が0より大きい値になるように設定する必要があります。

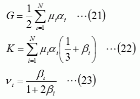
オグデン発泡材モデル

μi、αi、βi:オグデン発泡材モデルの係数
オグデン発泡材モデルでは、Ψdevはオグデンモデルと同じですが、
体積変化の項Uとして、係数βiを用いた式(20)に示す式を使用します。
オグデン発泡材モデルでは、微小変形時のせん断弾性率、体積弾性率は、式(21)(22)で表されます。
それぞれの係数μi、αi、βiは、負の値を設定することができますが、式(21)(22)が0より大きい値になるように設定する必要があります。
また、それぞれの項のポアソン比は式(23)で表され、βがポアソン比に関する係数であることが分かります。

超弾性材料の材料試験
ムーニー・リブリンモデルやオグデンモデルの係数を決定するためには、
単純な引張試験だけでは不十分であるため、一般には、複数の材料試験の結果を組み合わせることで、
モデルの係数の精度を上げています。
逆に、単純な引張試験のデータしかない場合には、ネオ・フックのモデルを使用することが推奨されます。
代表的な材料試験として以下の4つが挙げられます。
圧縮試験はゴム材料の試験としてはあまり行われませんが、発泡材料の試験としてよく行われます。
|
材料試験 |
変位図 |
解説 |
|
単軸引張 |
|
1方向に引っ張ったときの荷重と伸びを計測します。 公称ひずみ = 伸び / 荷重印加前の長さ 公称応力 = 荷重 / 荷重印加前の断面積
|
|
二軸均等引張 |
|
2方向に引っ張ったときの荷重と伸びを計測します。 公称ひずみ = 各方向の伸び / 荷重印加前の長さ 公称応力 = 各方向の荷重 / 荷重印加前の断面積
|
|
純粋せん断 |
|
1方向の変形を拘束しながら、1方向に引っ張ったときの荷重と伸びを計測します。 公称ひずみ = 伸び / 荷重印加前の長さ 公称応力 = 荷重 / 荷重印加前の断面積
|
|
単軸圧縮試験 |
|
公称ひずみ = 縮み / 荷重印加前の長さ 公称応力 = 荷重 / 荷重印加前の断面積 |
Femtetでは、複数の材料試験の結果から各モデルの係数を同定する「カーブフィット」の機能を備えています。
カーブフィットの手法として、最小二乗法を使用しています。
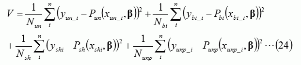
以下の評価関数Vが最小となるように、各モデルの係数を成分に持つベクトルβを求めます。

xun_i、yun_i:単軸引張試験のi番目の公称ひずみ、公称応力実験データ
Nun:単軸引張試験の実験データ数
xbi_i、ybi_i:二軸均等引張試験のi番目の公称ひずみ、公称応力実験データ
Nbi:二軸均等引張試験の実験データ数
xsh_i、ysh_i:純粋せん断試験のi番目の公称ひずみ、公称応力実験データ
Nsh:純粋せん断試験の実験データ数
xunp_i、yunp_i:単軸圧縮試験のi番目の公称ひずみ、公称応力実験データ
Nunp:単軸圧縮試験の実験データ数
Pun:公称ひずみxのときに係数βにより各モデルから算出される単軸引張時の公称応力
Pbi:公称ひずみxのときに係数βにより各モデルから算出される二軸均等引張時の公称応力
Psh:公称ひずみxのときに係数βにより各モデルから算出される純粋せん断時の公称応力
Punp:公称ひずみxのときに係数βにより各モデルから算出される単軸圧縮時の公称応力
Vが最小となる条件として、Vをβで偏微分した以下の式を満たすβを求めます。

ネオ・フックモデル、ムーニー・リブリンモデルでは、(20)式が連立一次方程式となるため、1回の計算でβの最適解を求めることができます。
一方、オグデンモデルでは、(20)式が、べき乗の項を含み、非線形計算となるため、
βの最適解を求めるために、ガウス・ニュートン法による反復法を用いて、初期値から最適解に近づけて行きます。
このため、初期値の値によって、求まる最適解の結果も異なり、初期値の値を変えることで、より最適な解を得ることができる場合があります。
Femtetでは、初期値を自動で設定していますが、これを防ぐために、初期値を手動で再設定して、計算し直すことができるようになっています。
オグデン発泡材モデルの同定では、指定したポアソン比から式(23)を用いて係数βiを求めてから、μi、αiの同定を行います。
オグデンモデルと同様、初期値によって求まる最適解が異なるため、初期値を再設定して、計算し直すことができます。
材料フィットの例は「超弾性タブ」に示しています。
Femtetで超弾性解析を行う場合の解析条件
Femtetで超弾性解析を行うには、以下のいずれかの設定をする必要があります。
1.
応力解析(Galileo)タブにおいて解析の種類を「静解析」として、「大変位」もしくは、「大ひずみ」オプションをチェックする
2.
応力解析(Galileo)タブにおいて解析の種類を「過渡解析」として、「大変位」もしくは、「大ひずみ」オプションをチェックする
※大変位と大ひずみはどちらかが選択されていれば超弾性材料が扱われます。
どちらが選択されていても、結果が変わることはありません。
参考文献
日刊工業新聞社 石川覚志著「解析塾秘伝 非線形構造解析の学び方!」






