ホーム / テクニカルノート / 応力解析 / 大変形(幾何学的非線形)の解析
大変形(幾何学的非線形)の解析
大変形オプション
大変形(幾何学的非線形)を考慮するために、2つのオプション設定があります。
①大変位オプション
回転の影響が無視できないときに使用します。
この機能のことを指して、大変形や大回転と呼ぶこともあります。
②大ひずみオプション
数%以上の大きなひずみが発生するときに使用します。
(注)大ひずみは特別オプション機能です。
これらのオプションを使用している場合、変形に応じて、荷重も更新されます。
例えば、圧力の方向は、変形後の面の法線になり、
トータル荷重やトルク荷重の各面、辺への分配は、変形後の面積、長さを使って行われます。
以下では、これらのオプションを使用する必要性と、その定式化について説明します。
大変形(幾何学的非線形)について
通常の応力解析(線形解析)は、初期の形状から大きく変化しないことを前提にして行列方程式を作成しているため、
初期の形状から大きく変化する場合、変形後の状態を考慮して計算しなければなりません。
このように、幾何学的な状態の変化を考慮して解析する方法を幾何学的非線形の解析と呼びます。
ここで言う非線形は、変位と荷重の関係が比例関係にないことを意味します。
ここでは、まず、変形の定義について説明します。
例えば、形状Aから形状Bに移った場合の変形を分解すると、以下の3つのステップで変形がおきていると考えることができます。
①並進 A⇒B'
②ひずみ(伸び・縮み・せん断) B'⇒B''
③剛体回転 B''⇒B

ここでは、①の並進は除き、大変形(変形が大きいこと)を、②のひずみが大きい、③の剛体回転が大きい
の二つととらえて考えます。
大変位オプションが必要な場合
通常の応力解析(線形解析)の欠点は、②ひずみと③剛体回転を区別することができないことが挙げられます。
回転しただけでひずみが生じたり(Case.1)、明らかに長さが変わってひずみや応力が生じるはずなのに
ひずみがゼロのまま(Case.2)というような結果が生じます。
これは、変位からひずみを求める方法(微小ひずみ)が回転に対応していないために起こります。

具体的な現象としては、
・大きなたわみが発生したときの回り込み「例題6
板バネの大変形」
・弦の張力効果
・座屈現象
等を考慮することができません。
このような状況のときに、大変位オプションを使用します。
※座屈現象は、収束しない可能性があります。「座屈解析」により座屈荷重と変形モードを解析することができます。
大ひずみオプションが必要な場合
大きな応力をかけて、元の長さLから長さlまで変形させた場合を考えます。
線形解析、大変位解析、大ひずみ解析それぞれで使用する以下の3つのひずみについて、長さ比 l/Lをプロットした結果を示します。
|
分類 |
式 |
用途 |
解説 |
|
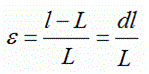
微小ひずみ≒工学ひずみ、公称ひずみ |
|
大変位、大ひずみなし |
元の長さLを基準を基準とした
ペアとなる応力:公称応力 |
|
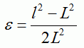
グリーン・ラグランジュひずみ |
|
大変位で |
元の長さLの2乗を基準とした
ペアとなる応力:第二ピオラ・キルヒホフ応力 |
|
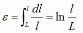
真ひずみ(対数ひずみ) |
|
大ひずみで |
微小ひずみを変形中の基準長さの
ペアとなる応力:真応力 |

微小ひずみおよびグリーン・ラグランジュひずみでは、変形後の長さlがゼロとなるひずみが存在します。これはおおきな応力(ひずみ)を加えれば、
現実的にはありえない、長さをゼロになるという結果が生じることを意味しています。
また、長さがマイナスになることもあり得るため、解析中にメッシュが反転する可能性があります。
一方で、対数ひずみは、長さlをゼロに近づけると、-∞となり、長さがゼロになることはありません。
例えば、大ひずみを考慮して解析している「例題54
非弾性衝突の過渡解析」の問題を、大変位のみで解こうとすると、
体積がほぼゼロになってしまう要素が発生してしまい、計算が収束しません。
また、弾塑性材料の応力-ひずみ関係は、材料試験の結果を真応力と真ひずみに換算した値を使用して入力します(「弾性定数タブ」)。
このため、真ひずみ以外を使用した場合、ひずみが大きくなったときに、入力した材料定数どおりの挙動を示さなくなります。
グラフから、ひずみが大きくなるほど、真ひずみとの乖離が大きくなっていることが確認できます。
例として、半径50um、高さ50um(バンプ体積約3.4 x 105 μm3)のAuバンプ(弾塑性材料)
を高さ10umまで押しつぶした場合の軸対称解析を比較した結果を示します。
塑性変形の性質として、変形前と変形後では体積が変わらない変形であることが挙げられます。
今回のケースでは、変形が大きく、変形のほとんどは塑性変形になります。
解析が収束するかどうかと、体積の変化に着目して、
①大変位、大ひずみなし(微小ひずみ)
②大変位のみ(グリーン・ラグランジュひずみ)
③大変位・大ひずみ(真ひずみ)
の結果を比較します。
|
分類 |
式 |
解析後体積 |
|
|
|
半径68μm
体積1.45 x 105 μm3 |
|
大変位のみ |
変位荷重45%で収束破綻 |
- |
|
大変位・大ひずみチェック |
|
半径103.5 μm 体積3.36 x 105 μm3 |
大変位、大ひずみオプションなしでは計算は収束していますが、つぶすことにより体積が大きく減少しており、正しく計算できていないことが分かります。
大変位オプションのみの計算では、変位荷重がで反復計算が破綻してしまいます。局所的にひずみが大きくなる箇所があり、メッシュが潰れています。
大ひずみ解析では、計算が収束し、変形後の体積が変形前の体積とほぼ等しくなり、塑性変形の性質(等容変形)が正しく反映されています。
大変位・大ひずみオプションの定式化
大変位・大ひずみで使用する行列方程式は、以下のような式で表されます。

[K]は接線剛性行列であり、弾性定数がこの行列に反映されます。
[KG]は幾何剛性行列であり、それまでの変形により発生した変位、ひずみ、応力がこの行列に反映されます。
{f}は荷重ベクトルであり、変位境界、荷重境界などはこのベクトルに反映されます。
{Q}は内力ベクトルであり、前回のステップで計算されたひずみや応力がこのベクトルに反映されます。
{Δu}は変位ベクトル増分であり、この方程式の未知数です。
これらの行列やベクトルを作成する定式化の方法として、二つの方法があります。
①トータル・ラグランジュの定式化
初期の配置を基準として行列方程式を作成する手法で、
・大変位のみにチェックが入っている場合
・大変位、大ひずみどちらかにチェックが入っており、超弾性タブで設定した超弾性材料が含まれている場合
にはこちらで定式化されます。
定式に使用するひずみと応力は、グリーン・ラグランジュひずみと第二ピオラ・キルヒホフ応力となります。
計算結果は、グリーン・ラグランジュひずみと真応力(コーシー応力)を出力します。
超弾性材料のひずみと応力の関係は、超弾性材料の応力解析に示す通り、
グリーン・ラグランジュひずみと第二ピオラ・キルヒホフ応力で定義されるため、
トータル・ラグランジュの定式化を使用します。
②アップデイト・ラグランジュの定式化
直前の配置を基準として行列方程式を作成する手法で、
・大ひずみにチェックが入っており、超弾性材料が含まれていない場合
にはこちらで定式化されます。
大ひずみにチェックが入っており、大変位にチェックが入っていない場合は、幾何剛性行列[KG]=0として計算します。
[KG]の値に寄らず、{f} と {Q}が釣り合うときの変形が解となるため、解が収束した場合には、同じ解が得られます。
[KG]を考慮した方が反復回数は少なくなることが多いため、大ひずみを使用する場合は、大変位のチェックも入れておくことを推奨します。
大ひずみ、大変位両方チェックを入れた状態で収束しない場合も、大変位のチェックを外すことで収束することがあります。
定式に使用するひずみは真ひずみ(対数ひずみ)、真応力(コーシー応力)になります。
計算結果は、真ひずみ(対数ひずみ)と真応力(コーシー応力)を出力します。
大変位、大ひずみのチェックの有無で、回転の影響を考慮する必要がある「例題6
板バネの大変形」の解析を行った場合の結果を
以下に示します。大変位、大ひずみのチェックがない場合以外は、回転の影響が考慮された解析ができていることが確認できます。
|
分類 |
大ひずみチェックなし |
大ひずみチェックあり |
|
|
|
アップデイト・ラグランジュの定式化 |
|
大変位チェックあり |
トータルラグランジュの定式化 |
アップデイト・ラグランジュの定式化 |










