ホーム / テクニカルノート / 応力解析 / ひずみの種類
ひずみの種類
1.ひずみの種類
応力解析、圧電解析で使用されるひずみの種類について、以下に示します。
|
分類 |
解説 |
|
弾性ひずみ |
弾性変形を表わすひずみ 応力の算出や、ひずみエネルギー密度の算出に使用される 応力算出例:等方性材料の垂直応力 応力=ヤング率 x 弾性ひずみ 異方性材料の応力算出方法は、テクニカルノートの異方性弾性定数行列を参照 |
|
初期ひずみ |
Femtetでは、初期ひずみとして以下の三つを扱っている ①熱ひずみ ②Body属性で設定するひずみ ③電歪 |
|
熱ひずみ |
熱膨張、熱収縮によるひずみ 熱荷重 解析や、熱-応力連成解析時に発生する 線膨張係数 x (到達温度 - 基準温度)で計算される |
|
Body属性で設定する初期ひずみ |
温度に依存しない初期ひずみを、Body属性初期ひずみタブで設定することができる Bodyの僅かなサイズ変化を手動で入力できる |
|
電歪 |
電場により発生するひずみ 電場-応力連成解析時に発生する 電歪定数 x 電束密度^2で計算される |
|
弾塑性材料の塑性変形を表わすひずみ 弾塑性材料を扱う静解析時に発生する 詳細は、テクニカルノートの弾塑性材料の応力解析を参照 (注)弾塑性解析は特別オプション機能です。 |
|
|
クリープひずみ |
クリープ材料のクリープ変形を表わすひずみ クリープ材料を扱う静解析時に発生する 詳細は、テクニカルノートのクリープ材料の応力解析を参照 (注)クリープ解析は特別オプション機能です。 |
各種ひずみには以下の関係が成立します。
ひずみ(トータルひずみ)=弾性ひずみ+初期ひずみ+塑性ひずみ+クリープひずみ
初期ひずみ=熱ひずみ+Body属性で設定する初期ひずみ+電歪
2.解析結果のフィールド値
解析結果のフィールド値の出力について示します。以下の6つはテンソル値になります。
|
分類 |
フィールド値として 適用される条件 |
解説 |
|
ひずみ(トータル) |
すべてのひずみを足し合わせた値を表示 ※初期ひずみ、塑性ひずみ、クリープひずみが 発生しない解析では弾性ひずみが表示される |
|
|
弾性ひずみ |
Galileo静解析/ Rayleigh静解析 |
弾性ひずみを表示 |
|
初期ひずみ(熱) |
Galileo熱荷重解析/ Rayleigh熱荷重解析 |
初期ひずみのうち、①熱ひずみを表示 |
|
初期ひずみ(熱以外) |
Galileo静解析/ Rayleigh静解析 |
初期ひずみのうち、②Body属性で設定するひずみ ③電歪を足し合わせたものを表示 |
|
塑性ひずみ |
Galileo静解析において 塑性材料を扱う場合 |
塑性ひずみを表示 |
|
クリープひずみ |
Galileo静解析 クリープ材料を扱う場合 |
クリープひずみを表示 |
以下の3つはポテンシャル値になります。相当塑性ひずみ、相当クリープひずみの説明は3.フィールド値の項で説明しています。
|
分類 |
フィールド値として 適用される条件 |
解説 |
|
累積相当塑性ひずみ |
Galileo静解析の複数ステップ解析で |
各ステップで算出した相当塑性ひずみの変化量を累積した値。 |
|
累積相当クリープひずみ |
Galileo静解析の複数ステップ解析で |
各ステップで算出した相当クリープひずみの変化量を累積した値。 |
|
累積相当非弾性ひずみ |
Galileo静解析の複数ステップ解析で |
累積相当塑性ひずみと累積相当クリープひずみを足し合わせた値。 |
|
相当非弾性ひずみ振幅 ※応力解析疲労寿命評価で表示 |
Galileo静解析の複数ステップ解析で |
繰り返し負荷の1サイクルで増加する累積相当非弾性ひずみを2で割った値。 |
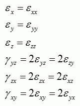
3. 垂直ひずみとせん断ひずみ
ひずみを表現する方法として、以下の2つの方法があります。
①垂直ひずみとせん断ひずみによる表示(工学ひずみ)
垂直ひずみ3成分εx、εy、εz、せん断ひずみ3成分γyz、γzx、γxyで表現されます。
xz面内の正方形の変形を例に示します。
|
|
イメージ図 |
ひずみの定義 |
|
垂直ひずみ (+:引張ひずみ、-:圧縮ひずみ) |
|
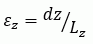
Z垂直ひずみ
|
|
せん断ひずみ (+、-:変形の方向を表す) |
|
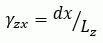
ZXせん断ひずみ
|
dx:x方向のずれ、dz:z方向の伸び、Lz:z方向の長さ
②ひずみテンソルによる表示
ひずみテンソル9成分εxx、εxy、εxz、εyx、εyy、εyz、εzx、εzy、εzzで表現されます。
①との関係は以下で表されます。せん断成分の2倍がせん断ひずみとなります。

内部の計算はひずみテンソルで行われますが、フィールド値の出力は垂直ひずみとせん断ひずみによる表示(工学ひずみ)で行われます。
4.フィールド値の成分
フィールド値で出力される成分について示します。
|
分類 |
表示可能な条件 |
解説 |
|
主ひずみ |
すべて |
ひずみテンソルは適当な方向を選ぶ事により、3つの垂直ひずみ(ε1、ε2、ε3)で表すことができます。 |
|
XY面内主ひずみ |
解析空間:3次元の場合 |
XY面内に発生するひずみテンソル成分εxx、εyy、εxyからなる |
|
X垂直ひずみ |
すべて |
X方向、Y方向、Z方向の垂直ひずみεx、εy、εzを表示します。 |
|
最大主ひずみ |
すべて |
主ひずみの3つの垂直ひずみを、大きさの順に並び替えたとき、それぞれの垂直ひずみを |
|
XY最大主ひずみ |
解析空間:3次元の場合 |
XY面内に発生するひずみテンソル成分εxx、εyy、εxyから求めた二つのXY面内主ひずみのうち、 |
|
XZ最大主ひずみ |
解析空間:2次元の場合 |
2次元の解析では、3つの主ひずみのうち1つは、奥行き方向(Y方向)になります。 |
|
体積ひずみ |
すべて |
ひずみのうち体積変化に寄与する垂直成分のみを足し合わせたものです。 +の場合、膨張、-の場合収縮していると言えます。
εxx、εyy、εzz:ひずみテンソル垂直成分 ε1:最大主ひずみ、ε2:中間主ひずみ、ε3:最小主ひずみ |
|
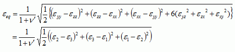
相当ひずみ |
すべて |
相当ひずみは、以下の式で計算されます。![]() εxx、εyy、εzz、εyz、εzx、εxy:ひずみテンソル成分 ε1:最大主ひずみ、ε2:中間主ひずみ、ε3:最小主ひずみ ν':有効ポアソン比 相当塑性ひずみ、相当クリープひずみは、塑性変形やクリープ変形の度合いを示す指標と |
|
YZせん断応力 |
すべて |
YZ面内、ZX面内、XY面内に発生する工学せん断ひずみγyz、γzx、γxy表示します。 |
|
YZせん断応力[絶対値] |
すべて |
YZ面内、ZX面内、XY面内に発生する工学せん断ひずみγyz、γzx、γxyの絶対値を表示します。
|
|
フィールドがひずみ(トータル)、 |
最大せん断ひずみは以下の式で表されます。
ε1:最大主ひずみ、ε2:中間主ひずみ、ε3:最小主ひずみ |








