ホーム / テクニカルノート / 熱伝導解析 / 輻射の計算式と設定方法
輻射の計算式と設定方法
1. 輻射による伝熱
電磁波による離れた表面間での熱の移動を輻射と呼びます。
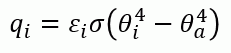
ある面iから放出する輻射強度は以下の式で表されます。

R : 射度(放射している輻射強度)
G : 外来照射量(周囲から受けている輻射強度)
ρ: 反射率
ε: 輻射率 ※ 反射率と輻射率の和は1 すなわち ρ+ε=1(キルヒホッフの法則)
σ: シュテファン=ボルツマン定数 5.670373 × 10-8 [W/m2/K4]
θ: 温度
第1項は、外来輻射量を反射して放出する項、第2項は、表面温度θに起因する表面からの熱の放出を示しています。
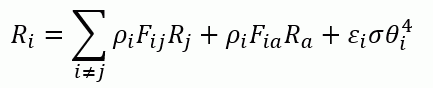
また、面iでの熱流束は以下の式で表されます。

R、G、qの関係を図示したものを以下に示します。

Gは以下の式で表されます。

Fij :面i-面j間の形態係数
Fia:面i-環境間の形態係数
Ra:環境の射度
Rj:面jの射度
面iから見えているすべての面jから輻射の照射を受けます。
面のない方向からの照射は、環境からの照射として扱われます。
環境の射度は、環境の輻射率を1と仮定して、環境の温度を用いて以下の式で表されます。

θa:輻射環境温度
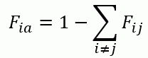
なお、形態係数はすべての和が1となります。Fiaは以下の式で求めることができます。

形態係数と外来照射量のイメージを以下に示します。
2次元の場合を仮定しています。赤色の表面の点1から見て、角度180°のうち青色(物体2)は、30°の範囲で見えているため、
形態係数は、30/180 = 1/6となります。また、それ以外の5/6は環境の形態係数となります。点1は、形態係数で重みづけされた照射量を環境と青色の物体から受けます。

2. 輻射の種類
Femtetで扱える輻射解析機能には、環境輻射と表面間輻射があります。
環境輻射は手軽に設定できる反面、解析できる条件に制約があります。
表面間輻射は、環境輻射よりも計算時間やメモリ使用量が増加する傾向がありますが、環境輻射では解析できない解析でも精度良く計算することができます。
環境輻射(速度重視)
表面からモデル外に存在する外部環境への輻射が考慮されます。
他の表面への輻射は考慮されないため、輻射エネルギーは、他の物体を透過します。
モデルの外周を環境面がくまなく覆っており、モデル外周と環境面の間に障害物が存在しないという前提で計算をします。
面iからは環境のみが見えており、他の面が見えていない、すなわち、Fia=1という前提で計算を行います。
表面から環境への熱流束は下式で計算されます。

境界の表面温度θ、室温(環境温度)θa
※障害物等がある、輻射面が凹形状である、密閉領域が存在するなどの理由により形態係数が1にならない場合、
「表面間」を使用してください。
表面間輻射(精度重視)
この設定を行った表面同士の輻射が考慮されます。
また、表面からモデル外に存在する外部環境への輻射も考慮されます。
離れた物体間の輻射や、密閉領域内部の輻射の計算をしたい場合、こちらを選択する必要があります。
輻射面のチェック、形態係数Fijの算出、表面同士の熱の移動の計算が必要となるため、環境輻射よりも計算時間が増加します。
以下の計算式:連立方程式(面の数nのとき、n個の方程式)を解くことで、射度を計算し、射度から熱流束を求めます。

輻射面のチェック方法については、「輻射面のチェックについて」を参照してください。
3. 輻射の設定方法
3.1 デフォルト設定(外部境界条件)を利用する方法
通常はこちらを使用します。
固体表面を自動的に検出して輻射面として解析します。
流体材料と接している場合、流体に接している固体表面も輻射面となります。
流体表面や、固体材料同士の界面は輻射面にはなりません。
また、外部境界条件に輻射以外の境界条件が設定されている(温度、熱伝達・対流など)場合、
輻射以外の境界条件は、流体、固体の区別なく外周部に反映されます。
外部境界条件で輻射面とみなされる面の例を以下に示します。
|
|
外部境界条件による |
外部境界条件による |
|
固体1、固体2周囲が流体で囲まれている場合 |
|
|
|
固体1、固体2で囲まれる内部に流体が存在する場合 |
|
|
以下の手順で行います。
1.外部境界条件を、「環境(速度重視)」、もしくは、「表面間(精度重視)」に設定します。
2.輻射率を設定します。
3.輻射以外の境界条件を設定している場合
固体表面に設定した境界については、輻射の種類として、「外部境界条件に従う」を使用することを推奨します。
外部境界条件同様、輻射面として考慮されます。
これらの設定は、「熱伝導解析タブ」の「輻射の設定」でまとめて設定が可能です。
「例題27
影のある輻射解析(定常解析)-簡易設定-」、
「例題15
輻射と自然対流によるケース付き基板内部のICの放熱(密閉空間と開放空間の解析)」
はこちらの方法で定義しています。
3.2 輻射面を個別に指定する方法
輻射を設定する境界の数が少ない場合や輻射のやり取りをする面を制限したい場合に使用します。
向かい合う面のみの輻射を考慮する場合、こちらの方法を使用します。
輻射を設定する境界が多い場合、設定が困難となるため、3.1デフォルト設定を利用する方法を推奨します。
3.1 デフォルト設定を利用する方法/ 3.2 輻射面を個別に指定する方法の使い分けの例を示します。
|
固体1、固体2の表面すべてが輻射面 (デフォルト設定を利用する方法を推奨)
|
|
|
固体1、固体2の向き合う面のみが輻射面 (個別に指定する方法を使用)
|
|
4. 輻射率の設定方法
輻射率の設定には3つの方法があります。
1.デフォルト値
2.ボディ属性毎に設定
ボディ属性「熱表面タブ」で設定します。
指定方法を「ボディ属性毎に指定する」にした場合、デフォルト値ではなく、こちらの設定が使用されます。
3.境界条件毎に設定
「熱タブ」で、個別設定にチェックを入れ、「輻射の個別設定」で輻射率を設定します。
ここで設定した値は、1.2.で設定した値よりも優先されます。
輻射率の設定も、「熱伝導解析タブ」の「輻射の設定」でまとめて設定が可能です。
5. 環境温度の設定
輻射環境温度は、通常、「熱伝導解析タブ」で設定した環境温度が使用されます。
それ以外の温度を使用したい場合、境界条件の「熱タブ」で、個別設定にチェックを入れ、「輻射の個別設定」で輻射環境温度を設定します。








