ホーム / テクニカルノート / 流体解析/熱流体解析 / 拡散解析
拡散解析
ここでは、流体解析の拡散解析オプションについて説明します。
各設定項目の説明については「流体タブ(熱流体タブ)」を参照してください。
1. 拡散解析
流体中を物質が拡散する様子を解析することができます。
物質の濃度差による拡散と、物質が流体に乗って移動する移流が考慮されます。
また、乱流解析を行っている場合、乱流による拡散の促進が考慮されます。
・空気中の水蒸気の拡散
・空気中の有害物質の拡散
・空気中の窒素濃度の計算
などを扱うことができます。
流体主成分に対して、拡散物質の濃度が流れに影響しないという前提の解析であるため、
適用できない場合があります。
また、水蒸気から水などの相変化を含む解析も適用できません。
また、換気の効率について見積もることが可能です。
チュートリアル「流体解析(Bernoulli、拡散解析:内部流体自動作成)」では拡散解析を行う場合の手順が記載されておりますので、そちらもご確認ください。
1.1 拡散量の種類・単位の設定
通常は、拡散物質の濃度を計算することになります。
濃度の定義として、モル濃度[mol/m3]、モル分率、質量濃度[kg/m3]、質量分率が挙げられます。
解析条件「拡散解析の設定」で、拡散量の種類を、以下の8つから選択できるようになっています。
・単位なし
・モル濃度[mol/m3]
・質量濃度[kg/m3]
・モル分率(単位なし)
・モル分率[%]
・質量分率(単位なし)
・質量分率[%]
・微量濃度[ppm]
1.2 拡散量の設定
以下の箇所で拡散量の値を設定して解析を行います。
・解析条件「拡散解析の設定」:環境値(デフォルトの値)
・ボディ属性「拡散解析の設定」:過渡解析の場合のボディ属性毎の初期値
・境界条件「拡散解析の設定[流入]」:流入境界から流入してくる拡散量の値
・境界条件「拡散解析の設定[壁面]」:壁面上の値、壁面上で出入りする流束、壁面外部の環境値と伝達係数
入力値の例を紹介します。
①湿度60%の空気中に湿度30%の空気が流入する場合
拡散値の種類として、モル分率[%]を選択します。
主成分=乾燥空気(湿度0%)として、環境値には0[%]を設定します。
過渡解析の初期値として、30[%]を設定します。
流入境界の流入値として、60[%]を設定します。
※拡散物質の重さを考慮する場合は、この方法は適用できません。②もしくは③の方法を使用してください。
②①の計算を水蒸気のモル濃度で計算する場合
拡散値の種類として、モル濃度[mol/m3]を選択します。
湿度をモル濃度に換算する場合、まず飽和水蒸気量を計算します。
飽和水蒸気量は、状態方程式によりモル濃度に換算します。
Tetensの式により特定の温度における飽和水蒸気圧を見積もることができます。

p:飽和水蒸気圧、T:温度[deg]
飽和水蒸気圧は状態方程式により、モル濃度に換算することができます。

C:飽和水蒸気モル濃度[mol/m3]、R:気体定数 = 8.314462618[J/K/mol]、温度:T[K]
温度が25[deg]のときの飽和水蒸気モル濃度は、1.278 [mol/m3]となります。
湿度30%の場合の水蒸気のモル濃度は、1.278 x 0.3 = 0.3834 [mol/m3]、
湿度60%の場合の水蒸気のモル濃度は、1.278 x 0.6 = 0.7668 [mol/m3]となります。
主成分=乾燥空気(湿度0%)として、環境値には0[mol/m3]を設定します。
過渡解析の初期値として、0.3834[mol/m3]を設定します。
流入境界の流入値として、0.7668[mol/m3]を設定します。
③①、②の計算を水蒸気の質量濃度で計算する場合
拡散値の種類として、質量濃度[kg/m3]を選択します。
②で求めた飽和水蒸気モル濃度を分子量を用いて質量濃度に換算します。
水(H2O)の分子量は18[g/mol]であるため、
湿度30%の場合の水蒸気のモル濃度は、0.3834 * 18 * 0.001 = 0.006901 [mol/m3]、
湿度60%の場合の水蒸気のモル濃度は、0.7668 * 18 * 0.001 = 0.013802[mol/m3] となります。
主成分=乾燥空気(湿度0%)として、環境値には0[kg/m3]を設定します。
過渡解析の初期値として、0.006901[kg/m3]を設定します。
流入境界の流入値として、0.013802[kg/m3]を設定します。
④空気中に窒素ガスが流入する場合
拡散値の種類として、モル分率[%]を選択します。
主成分=空気(窒素濃度約80%)のため、環境値には80[%]を設定します。
流入境界の流入値として、100[%]を設定します。
2. 浮力の考慮
2.1 拡散物質の重さと濃度に起因する浮力
拡散解析は、流体主成分に対して、拡散物質の濃度が流れに影響しないという前提の解析となります。
拡散物質の濃度の度合いによって、拡散物質を含む流体の平均密度や平均粘度が変化するため、
濃度が大きければ流れに影響が出てくる可能性がでてきます。
特に、平均密度の空間的な変化は、浮力を生じさせ自然対流の流れを作り出すため、注意が必要です。
例えば、拡散物質が流体主成分に対して軽い場合は、浮力により天井付近にたまる傾向がみられます。
逆に、拡散物質が流体主成分に対して重い場合には、地面付近にたまる傾向が見られます。
ここで、「軽い」とは、拡散物質のモル質量(分子量)が、流体主成分のモル質量(分子量)に比べて小さいことを示します。
「重い」とは、拡散物質のモル質量(分子量)が、流体主成分のモル質量(分子量)に比べて大きいことを示します。
気体の場合、浮力の大きさは以下の式で定義されます。

f:浮力ベクトル[N/m3]
M:拡散物質のモル質量(分子量)[kg/mol]
Mref:流体主成分のモル質量(分子量)[kg/mol]
C:拡散物質のモル濃度差[mol/m3]
g:重力加速度ベクトル[m/s2]
拡散物質を「水蒸気」とすると、
・水の分子量 : 18 [ g/mol]
・流体主成分の空気の分子量 : 28.96 [g/mol]
であり、水蒸気の方が軽く、浮力ベクトルは重力加速度方向と逆方向となり、水蒸気を多く含む空気は浮力が生じていることになります。
液体の場合、浮力の大きさは以下の式で定義されます。

ρm:拡散物質の密度[kg/m3]
ρmref:流体主成分の密度[kg/m3]
2.2 拡散物質の重さを考慮する場合
「拡散解析の設定」で「拡散物質の重さを考慮する」をチェックすることで、解析することができます。
拡散物質のモル重量の設定が必要になるため、「拡散物質の設定」で拡散物質の設定を行う必要があります。
求解している方程式については、「流体解析/熱流体解析で求解している微分方程式」を参照してください。
2.3 浮力考慮の必要性判定
拡散物質の重さを考慮する必要があるかは、強制対流による流れが支配的か、浮力による流れが支配的かで決まります。
自然対流よりも強制対流の影響が大きい場合、浮力考慮は不要と言えます。
ここでは、レイノルズ数とグラスホフ数の比を使った具体的な浮力考慮要不要判定方法を示します。
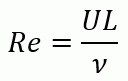
・レイノルズ数

Re:レイノルズ数
U:代表流速[m/s]
L:代表長さ[m]
ν:動粘度[m2/s]
慣性力と粘性力のバランスを示す量です。慣性力の影響が強いと1より大きくなります。
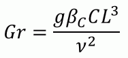
・グラスホフ数

Gr: グラスホフ数
g:重力加速度[m/s2]
βc:体膨張係数[m3/mol]
C:想定されるモル濃度差[mol/m3]
L:代表長さ[m]
ν:動粘度[m2/s]
浮力と粘性力のバランスを示す量です。浮力の影響が強いと1より大きくなります。
体膨張係数は以下の式で表現されます。

Mref:流体主成分の分子量[kg/mol]
M:拡散物質の分子量[kg/mol]
ρref: 流体主成分の密度[kg/m3]
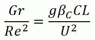
・グラスホフ数とレイノルズ数の比(リチャードソン数と呼ぶこともあります)

Gr: グラスホフ数
Re:レイノルズ数
g:重力加速度[m/s2]
βc:体膨張係数[m3/mol]
C:想定されるモル濃度差[mol/m3]
L:代表長さ[m]
U:代表流速[m/s]
慣性力と浮力のバランスを示す量です。慣性力の影響力が強いと1より小さくなります。
強制対流と浮力による自然対流の混合流れにおいては、1より小さい場合に強制対流が支配的となり、
1より大きい場合に、自然対流が支配的となります。
1より小さい値であれば、自然対流の影響が小さくなるため、浮力考慮は不要となります。
2.4 浮力考慮必要性判定ツール
2.3の計算を行うためのExcelツールを用意しました。
・流体主成分の粘度、密度、分子量
・拡散物質の分子量
・代表長さ(流速)
・代表長さ(寸法)
・想定される拡散物質のモル濃度差
の情報から計算することができます。
必要に応じて使用してください。
CheckApplicableOfDiffusionAnalysis.xlsx
2.5 適用範囲判定例
2.5.1 水蒸気の拡散
代表流速 1m/s 、代表長さ 1m の場合、飽和空気(湿度100%)で浮力を考慮する必要があるかを判定してみます。
ここでは、解析領域内で湿度0%~100%まで変化することを想定して計算します。
①25℃における飽和水蒸気モル濃度を「水蒸気」シートで求めます。
1.28mol/m3となります。
②「判定」シートに、代表流速1m/s、代表長さ1m、拡散物質の分子量18[g/mol]、拡散物質モル濃度差1.28mol/m3を入力します。
グラスホフ数とレイノルズ数の比は、0.12となります。
強制対流が支配的なため、適用範囲と言えます。
なお、温度が高い場合、飽和水蒸気モル濃度が大きくなり、グラスホフ数とレイノルズ数は大きくなるため、適用範囲から外れる可能性があります。
2.5.2 窒素ガスの拡散
代表流速 1m/s 、代表長さ 10m の場合、窒素ガスの拡散で浮力を考慮する必要があるかを判定してみます。
ここでは、解析領域内で窒素モル分率80%~100%まで変化することを想定して計算します。
①「状態方程式」シートで、圧力1e5[Pa]、温度25[deg]のときのモル分率80%、モル分率100%でのモル濃度を求めます。
モル分率80%でのモル濃度は、32.3[mol/m3]、モル分率100%でのモル濃度は40.3[mol/m3]となります。
解析領域内でのモル濃度変化は、40.3 - 32.3 = 8.0 [mol/m3]となります。
②「判定」シートに、代表流速1m/s、代表長さ10m、拡散物質の分子量28[g/mol]、拡散物質モル濃度差8.0mol/m3を入力します。
グラスホフ数とレイノルズ数の比は、0.66となります。
強制対流が支配的なため、適用範囲と言えます。
3. 換気効率の計算
拡散解析の機能を用いた換気具合の解析方法を示します。
簡単な例として、換気扇による部屋の換気を考えます。
ここでは2次元のモデルを使用します。
3次元の解析事例は、「例題12 室内換気の解析」「例題13 室内換気の解析(空気齢の計算)」を参照してください。
換気扇の流量は、1[min]で1回循環すると仮定して、15[m3/min] を設定します。
部屋の容積:およそ15m2 ( 6m x 2.5m x 奥行1m )としているため、15[m3/min]で1[min]で1回循環することになります。
ドアは空いているものとして、自然流入/流出を設定します。

以下に流線を示します。ドア部から換気扇に向かって流線が描画されています。

3.1 過渡解析による空気の置換の解析
単位なしに設定します。
初期値を「1」として、環境値「0」にして過渡解析を行います。
古い空気が残っている箇所が「1」、新しい空気に入れ替わった箇所が「0」で表示されます。
長い時間1から値が下がらない箇所はよどみが生じていて空気の入れ替えができにくい箇所になります。
|
|
コンター図 |
|
時刻 20[s] |
|
|
時刻 40[s] |
|
|
時刻 60[s] |
|
3.2 空気齢、空気余命、空気寿命の解析
換気の状態を評価する方法として、空気齢、空気余命、空気寿命があります。
空気齢、空気余命、空気寿命は時間の単位[s]を持つ量ですが、空気齢、空気余命、空気寿命は換気回数で規格化して評価する場合があります。
換気回数は、換気流量 / 換気容積 (1[s]間で何回換気できるか?を示す量)で計算されます。
今回の例では、1[min]で1回循環する設定としているため、1[s]に換算すると、1/60 回となります。
空気齢
ある点に着目したときに、流入箇所から入ってきた空気がそこに到達するまでの時間
流入箇所に近い箇所(新鮮な空気が行き届きやすい場所)ほど小さい値となります。

ドア付近では0[s]、換気扇付近では、60[s]に近い値が検出されています。
換気風量を1[min]で1回循環する量を設定しているため、妥当な結果と言えます。
空気余命
ある点に着目したときに、そこに存在していた空気が流出箇所に到達するまでの時間
流出箇所に近い箇所(古い空気が排出されやすい場所)ほど小さい値となります。

ドア付近では60[s]、換気扇付近では、0[s]に近い値が検出されています。
換気風量を1[min]で1回循環する量を設定しているため、妥当な結果と言えます。
空気寿命
ある点に着目したときに、流入箇所から入ってきた空気がそこを通過し、流出箇所に到達するまでの時間
(空気齢と空気余命を足したもの)
空気の交換が起こりにくいよどんでいる箇所ほど大きい値にとなります。

角の部分は空気寿命が大きくなっており、よどみ領域となっています。
流線の通っていない箇所のため、空気の換気が起こりにくい箇所と言えます。





