Home / Show Results / Characteristics by Charts / Directivity / Calculation of Surrounding Electromagnetic Field
Surrounding Electromagnetic Field
The region outside the analysis model with an open boundary has no mesh. In the electromagnetic harmonic analysis, the surrounding electromagnetic fields in the region are calculated and displayed.
On the [Results] tab
click ▼ at the side of [Show Characteristics Chart]
and select [Directivity Graph] on the submenu. The [Directivity Calculation] dialog box will appear.
Go to the [Surrounding Electromagnetic Field] tab.

|
Item |
Notes |
|
Graph type |
Selectable from XY Graph and Polar Graph. The polar graph is available only if the angle is selected for the horizontal axis. |
|
Observation Point |
Specify the position of the observation point by angle and distance. If polar coordinates selected at [Setting > Other]-[Coordinate System], the position is designated in (r,θ,φ), and if cylindrical coordinate system selected, the position is designated in (ρ,φ,z). Refer to the diagram in the lower right of the dialog box for the meaning of each variable. |
|
|
Calculates rE as described in [Electromagnetic Waves Directivity]. The electric field is given by dividing rE by the distance between the origin and the observation point. |
|
Display |
If E [V/m] or H [A/m] selected, calculates complex amplitudes. Reference: How to Examine the Results of Harmonic Vibration If y [V/m] is given, it can be converted to x [dBuV/m] by 20*log(|y|*1.0e6/1.414). 1.414 is used to convert the amplitude into the effective value. Reference: 0 [dBµV/m] corresponds to an electric field strength of 1 [µV/m] RMS.
|
|
Plane of Symmetry and Infinite Ground Plane |
|
| [Setting] - [Horizontal axis] |
Selectable from θ, φ, and Frequency for the horizontal axis of XY graph and for the rotation angle of the polar graph. When Frequency is selected, the maximum electric field at the observation point will be plotted for the frequencies. |
|
Option: Coordinate system
|
Selectable from Polar coordinates and Cylindrical coordinates. |
|
Option: Input method |
Selectable from Number of Divisions and Interval. |
|
Option: Complex number type |
Selectable form READ/IMAG and MAG/ANG. |
|
Option: Use far field |
Calculates the equation which is given based on the assumption that the observation point is in the far field. The calculation accuracy will decrease in the near field, but the calculation will take less time. |
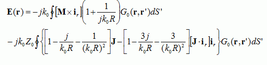
Equation of the near field is shown below.
![]() |
|
where ![]() |
![]() |
|
|
E : Electric field, H : Magnetic field, ir: Unit vector from the integration point to the observation point, r' : Vector to S, n: Outward vector normal to the boundary face on the integration point, k0 : Wavenumber in the free space, Z0: Impedance of the plane wave in the free space, r: Vector to the observation point, J: Equivalent electric current, M: Equivalent magnetic current |






