Home / Technical Notes / Fluid Analysis/Fluid-Thermal Analysis / Differential Equations in Fluid Analysis/Fluid-Thermal Analysis
Differential Equations Solved in the Fluid Analysis/Fluid-Thermal Analysis
1. Laminar Flow Analysis
1.1 Flow Velocity, Pressure, Temperature, and Diffusion
In the laminar flow analysis, the fluid velocity and the pressure are analyzed, which satisfy the Navier-Stokes equation and continuity equation given by assuming the incompressible flow.
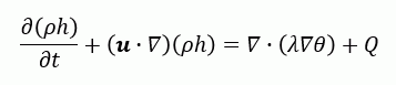
The fluid-thermal analysis solves the temperature which satisfies the thermal energy transport equation by using the acquired flow velocity.
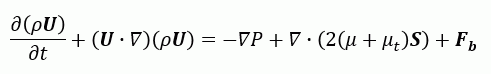
Navier-Stokes Equation

On the left side, the first term is acceleration and the second term is advection.
On the right side, the first term is pressure gradient, the second term is viscosity diffusion, and the third term is an external force.
In the steady-state analysis, the first term of the left side is zero as there is no change over time.
The external force is buoyancy if [Taken into account buoyancy] selected and, buoyancy and surface tension in the VOF method.
Pressure is corrected with the effect of gravity excluded. See Pressure in Fluid Analysis for more information.
Continuity Equation

Thermal Energy Transport Equation

On the left side, the first term is heat storage and the second term is advection.
On the right side, the first term is thermal conduction and the second term is heat source.
In the steady-state analysis, the first term of the left side is zero as there is no change over time.
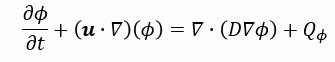
Scalar Transport Equation

Diffusion analysis uses this equation.
On the left side, the first term is temporal change and the second term is advection.
On the right side, the first term is diffusion and the second term is source.
In the steady-state analysis, the first term of the left side is zero as there is no change over time.
Each variable is explained as below.

The constants are as listed below.
In the free surface analysis, density, viscosity, specific heat, and thermal conductivity are averaged by the volume fraction of phases and used. (Refer to 3.1)

2. Turbulent Flow Analysis
Based on the two ideas below, the turbulent flow analysis solves flow velocity, pressure, and temperature which satisfy the Reynolds-averaged Navier-Stokes equation, the Reynolds-averaged continuity equation, and the Reynolds-averaged thermal energy transport equation.
The acquired flow velocity, pressure, and temperature are averaged quantities.
Reynolds Average
The variables such as flow velocity, pressure, and temperature are separated into the averaged components and the variable components. It modifies the Navier-Stokes equation, the continuity equation, and the thermal energy transport equation.
If Reynolds averaging is applied to the Navier-Stokes equation and the thermal energy transport equation, the stress (Reynolds stress) which is originates from the variable components and the heat flux will be obtained.
Eddy Viscosity Model
For the eddy viscosity model, it is assumed that the stress (Reynolds stress) which originates from the variable components is proportional to the strain rate and the coefficient of eddy viscosity (turbulent viscosity coefficient).
It is also assumed that the heat flux originates from the variable components is proportional to the temperature gradient and the turbulent thermal conductivity.
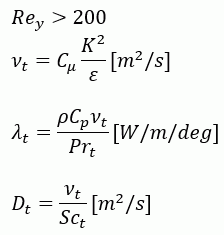
There are various models to calculate the coefficient of turbulent kinematic viscosity (vt) and the turbulent thermal conductivity (λt).
In order to obtain vt, Femtet uses [K-ε model] which solves the transport equation involving the turbulent flow energy (K) and the energy dissipation rate (ε) and [SST K-ω model] which solves the transport equation involving the turbulent flow energy (K) and the specific dissipation rate (ω).
Among several K-ε models, Femtet uses [Realizable K-ε model] (*1). This model is given a realizability condition where K and ε will not become negative.
As the K-ε model cannot correctly represent the flow of the low-Reynolds numbers near the wall face, [Two-layer model] (*2) is used.
It separates the domain into the domain near the wall face and the domain of fully turbulent flow, and applies he different calculation methods.
[Wolfshtein's one-equation model] is used for the domain near the wall face, and [Realizable K-ε model] is used for the domain of fully turbulent flow for calculation.
(*1)Tsan-Hsing Shih, William W.Liou, Aamir Shabbir,Zhigang Yang and Jiang Zhu "A New k-ε Eddy Viscosity Model for High Reynolds Number Turbulent Flows" Compiters Fluids Vol.24,No,3,pp.227-238, 1995
(*2)W.Rodi "Experience with Two-Layer Models Combining the k-ε Model with a One-Equation Model Near the Wall" AIAA paper 1991-p216
(*3)M.Wolfshtein "The Velocity and Temperature Distribution in One-Dimensional Flow with Turbulence Augmentation and Pressure Gradient" Int.J.Heat Mass Transfer. Vol. 12,pp.301-318
2.1 Flow Velocity, Pressure, Temperature, and Diffusion
Reynolds-averaged Navier-Stokes Equation (RANS)

Reynolds-averaged Continuity Equation

Reynolds-averaged Thermal Energy Transport Equation

Reynolds-averaged Scalar Transport Equation

Each variable is explained as below.

2.2 Coefficient of Turbulent Viscosity, Turbulent Thermal Conductivity, and Turbulent Diffusion Coefficient
There are various models to calculate the coefficient of turbulent kinematic viscosity (vt), the turbulent thermal conductivity (λt), and the coefficient of turbulent diffusion (Dt).
Femtet k-ε model separates the fluid domain into the domain near the wall face and the domain of fully turbulent flow according to the distance from the wall face (solid wall) for calculation.
In the domain near the wall face, the coefficient of turbulent viscosity and the turbulent thermal conductivity are determined by the turbulent flow energy K and the distance from the wall (solid wall).
In the domain of fully turbulent flow, the turbulent flow energy K, the energy dissipation rate ε, the model variable Cμ determine the coefficient of turbulent viscosity and the turbulent thermal conductivity.
k-ε model
Domain near the Wall Face

Domain of Fully Turbulent Flow

SST k-ω model
The SST k-ω model calculates the domains near the wall face and of fully turbulent flow in a similar way to how the k-ε model calculates the domain of fully turbulent flow.
Note that the limiter for the coefficient of eddy viscosity is applied to the coefficient of turbulent kinematic viscosity (νt) which is given by the equation below.

Each variable is explained as below. (The variables and constants of SST k-ω model are described in the section of 2.3.)

Each constant is explained as below.

2.3 Turbulent Flow Energy K, Energy Dissipation Rate ε and Specific Dissipation Rate ω
To determine the coefficient of turbulent flow viscosity, the turbulent flow energy, the energy dissipation rate, and the specific dissipation rate must be calculated.
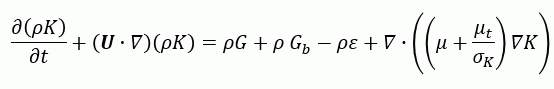
The turbulent flow energy K, which satisfies the transport equation, is calculated.
Realizable k-ε Model
Turbulent Flow Energy K Transport Equation

Energy Dissipation Rate ε
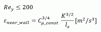
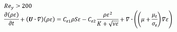
In order to calculate the energy dissipation rate (ε), Femtet k-ω model separates the fluid domain into the domain near the wall face and the domain of fully turbulent flow according to the distance from the wall face. It is called the two-layer model.
In the domain near the wall face, the energy dissipation rate ε is determined by the distance from the wall face (solid wall).
In the domain of fully turbulent flow, the energy dissipation rate ε is calculated to satisfy the transport equation.
Energy Dissipation Rate in the Domain near the Wall Face

Fully Turbulent Flow Domain (Energy Dissipation Rate Transport Equation)

Each variable is explained as below.
β and βφ are explained in detail in 4.1 and 4.2.

Each constant is explained as below.

SST k-ω model
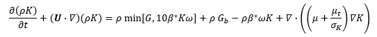
Turbulent Flow Energy K Transport Equation
A limiter operation is applied to the generation term in the K, ω transport equation.

Specific Dissipation Rate ω and Energy Dissipation Rate ε
In Femtet SST k-ω model, the specific dissipation rate (ω), which satisfies the transport equation, is calculated.
A limiter operation is applied to the coefficient of eddy viscosity in the transport equation.
The energy dissipation rate (ε) is calculated using calculated K and ω.


Each variable is explained as below.

Each constant is explained as below.
Constants of the SST k-ω model are determined using a blended form of a=a1F1+a2(1-F1), where F1 is a blending function.
The values of F1 can be checked for [Layer Near Wall Face] on the [Output Setting] tab. If F1=1, the k-ω model is dominant, and if F1=0, the k-ε model is dominant.

2.4 The 1st Layer of the Wall Face
Near the wall, the flow velocity fluctuates drastically. It is necessary to set the small mesh size to represent the fluctuation.
The wall function described in [Meshing Setting near the Wall Face] is used so as to maintain a certain level of accuracy even if the mesh size is not small.
The equations below are used for calculation.
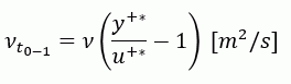
Apparent Coefficient of Kinematic Viscosity between the Wall Face and the 1st Layer of the Wall Face

Apparent Turbulent Thermal Conductivity between the Wall Face and the 1st Layer of the Wall Face

Apparent Coefficient of Turbulent Diffusion between the Wall Face and the 1st layer of the Wall Face

Energy Dissipation Rate of the 1st Layer of the Wall Face

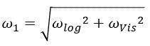
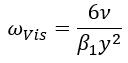
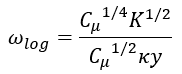
Energy Generation Rate of the 1st Layer of the Wall Face

In the SST k-ω model, the specific dissipation rate (ω) of the 1st layer on the wall face is calculated as follows.
The wall function that is a hybrid of viscous sublayer and logarithmic domain is applied.
Specific Dissipation Rate of the 1st Layer of the Wall Face



Each variable is explained as below.

Each constant is explained as below.

Please refer to [Meshing Setup near the Wall Face] for the dimensionless speed and dimensionless temperature.
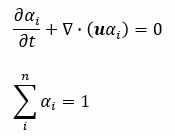
3. Free Surface Analysis (VOF Method)
3.1 Volume Fraction
In the free surface analysis, the equation below is solved besides the equations presented in sections (1.Laminar flow, 2.Tubulent flow).
Volume Fraction Advection Equation

On the left side, the first term is time and the second term is advection.
The volume fraction of the first phase is calculated from the volume fraction of the second or later phase without solving the advection equation.
For the Navier-Stokes equation, thermal energy transport equation, and scalar transport equation, density, viscosity, thermal conductivity, and specific heat are averaged by the volume fraction and used.
The variables and the constant are explained as below.

4. External Force
4.1 Buoyancy from the Difference in Temperature
Buoyancy from the difference in temperature is defined as follows.
Sets the ambient temperature specified on the [Fluid-thermal analysis] tab to the reference temperature θref.

Density is defined as follows.

The variables and the constant are explained as below.

4.2 Buoyancy from the Difference in Concentration of Diffusing Materials
Buoyancy from the difference in concentration of diffusing materials is defined as follows.
Sets the ambient value specified in [Diffusion Analysis Setting] to the reference diffusion value, XDref/CDref/YDref/ρDref.

For the diffusion of gas, density is defined as below.
Different depending on type and unit of diffusion quantity.

For the diffusion of liquid, density is defined as below.
Different depending on type and unit of diffusion quantity.

The variables and the constant are explained as below.

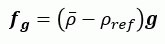
4.3. Buoyancy in the Free Surface Analysis
Buoyancy is defined as follows.
Sets the minimum density among densities of all phases to the reference density ρref.

4.4 Surface Tension
In the free surface analysis (VOF method), surface tension can be taken into account.
Surface tension is defined with the following Continuous Surface Force (CSF) model.

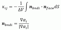
The curvature, κi, of the i-th phase, is defined below.

In the actual calculation, the curvature is calculated in the minute domain.
Uses the following equation transformed with the Gauss Divergence Theorem for calculation.

Near the wall face, the curvature is corrected according to the contact angle.
In the calculation of the curvature in the minute domain, correct the normal vector on t he boundary with the equation below.

The variables and the constant are explained as below.




