ホーム / ボディ属性、材料、境界条件の設定 / 流体解析[Bernoulli] / 境界条件 / 乱流の設定
乱流の設定
解析条件で乱流を選択している場合、流入する流体の状態として、乱流エネルギー、エネルギー散逸率を指定する必要があります。
流体関連の境界条件の流入、流入/流出条件で流入してくる乱流量を設定します。
流体解析の境界条件の設定方法全般の説明に関しては、テクニカルノート「流体解析の境界条件」を参照してください。
|
設定項目 |
解説 |
|
K_乱流エネルギー |
|
指定方法 |
解説 |
|
自動計算 |
境界条件より、内部流れ、外部流れの判定を行い、
それぞれの場合に応じて、乱流エネルギーを計算します。
流入境界の周囲が固体壁と接している場合に、内部流れと判定します。
内部流れと外部流れについては、テクニカルノート「流体解析の境界条件」を参照してください。
内部流れの場合
乱流の度合いが強く、乱流強度5[%]を仮定して乱流エネルギーの計算を行います。
外部流れの場合
乱流の度合いが弱く、乱流強度1[%]を仮定して乱流エネルギーの計算を行います。
乱流強度は、流速の大きさに対する乱れによる流速変動の割合を示します。
一般に、1~10%程度が使われます。

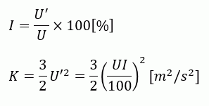
U'[m/s]:乱れによる流速変動
U[m/s]:流入流速
I[%]:乱流強度
K[m2/s2]:乱流エネルギー
|
|
乱流強度 |
乱流強度で乱流エネルギーを指定します。
乱流強度は、流速の大きさに対する乱れによる流速変動の割合を示します。
一般に、1~10%程度の値が使われます。
Kは以下の式で計算されます。

U'[m/s]:乱れによる流速変動
U[m/s]:流入流速
I[%]:乱流強度
K[m2/s2]:乱流エネルギー |
|
直接指定 |
乱流エネルギーを直接指定します。
実験値などで流入する乱流エネルギーが分かっている場合に使用します。 |
|
| ε_エネルギー散逸率 |
|
指定方法 |
解説 |
|
自動計算 |
境界条件より、内部流れ、外部流れの判定を行い、
それぞれの場合に応じてエネルギー散逸率を計算します。
流入境界の周囲が固体壁と接している場合に、内部流れと判定します。
内部流れと外部流れについては、テクニカルノート「流体解析の境界条件」を参照してください。
内部流れの場合
水力直径(流入面を円形状と仮定したときの直径)をモデルより自動計算します。
εは以下の式で計算されます。
渦の大きさは流入口の大きさで制限されることを考慮した式になります。

Cμ=0.09:モデル定数
K[m2/s2]:乱流エネルギー
l[m]:流入口の水力直径
ε[m2/s3]:エネルギー散逸率
水力直径は、境界条件を設定した箇所の形状により以下の式で計算されます。
2次元の場合

L[m]:辺の長さ
3次元の場合

Lall[m]:周囲の長さの合計
S[m2]:面積
外部流れの場合
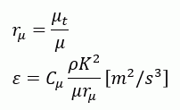
乱流粘性比(乱流粘性係数と材料の粘度の比)で指定します。
外部流れでは乱流による粘性は弱く、乱流粘性比
= 1 と仮定して計算します。

μ[Pa・s]:粘度
μt[Pa・s]:乱流粘性係数
rμ:乱流粘性比
Cμ=0.09:モデル定数
K[m2/s2]:乱流エネルギー
ρ[kg/m3]:密度
ε[m2/s3]:エネルギー散逸率
|
|
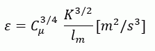
混合長 |
混合長を指定します。
εは以下の式で計算されます。

Cμ=0.09:モデル定数
K[m2/s2]:乱流エネルギー
lm[m]:混合長
ε[m2/s3]:エネルギー散逸率
|
|
水力直径 |
水力直径(流入面を円形状と仮定したときの直径)で指定します。
εは以下の式で計算されます。
渦の大きさは流入口の大きさで制限されることを考慮した式になります。

Cμ=0.09:モデル定数
K[m2/s2]:乱流エネルギー
l[m]:流入口の水力直径
ε[m2/s3]:エネルギー散逸率
|
|
乱流粘性比 |
乱流粘性比(乱流粘性係数と材料の粘度の比)で指定します。
一般に、1~10程度の値を設定します。

μ[Pa・s]:粘度
μt[Pa・s]:乱流粘性係数
rμ:乱流粘性比
Cμ=0.09:モデル定数
K[m2/s2]:乱流エネルギー
ρ[kg/m3]:密度
ε[m2/s3]:エネルギー散逸率
|
|
直接指定 |
エネルギー散逸率を直接指定します。
実験値などで流入するエネルギー散逸率が分かっている場合に使用します。 |
|
| ω_比散逸率 |
εと同様に計算します。上記の計算したεを下記の計算式でωに変換します。

|