ホーム / 結果表示 / 特性値(チャート) / 指向性 / 電磁波周辺電磁界計算
電磁波周辺電磁界計算
電磁波解析(調和解析)で開放境界を有する解析モデルの周辺電磁界(解析モデルの外側、つまりメッシュの無い領域の電磁界)を表示します。
[解析結果ウィンドウ]タブの
[チャート]
の右横の▼から[指向性]を選択すると[指向性計算]ダイアログが起動されます。
そのダイアログには、電磁波指向性計算タブと、周辺電磁界計算タブがありますが、ここでは電磁波指向性タブの説明を行
います。

|
項目 |
説明 |
|
グラフの種類 |
XYグラフとポーラグラフのどちらかを表示することが可能です。ポーラーグラフは、グラフの横軸として、 角度が選択された時のみ利用できます。 |
|
観測点の位置 |
観測点の位置を角度と、距離で指定します。[設定]-[座標系]で極座標を選択した場合は、(r,θ,φ)、 円筒座標系を入力した場合は(ρ、φ、z)で指定します。それぞれの変数の意味は ダイアログ右下の図を参照してください。 |
|
Femtetでの 指向性 |
電磁波指向性計算についてをご覧ください。このような方法で求めたrEに、観測点までの距離の 逆数をかけて電界を求めています。 |
|
表示の種類 |
E[V/m]、H[A/m]は複素振幅を計算します。参考:調和振動する結果の見方。 x[dBμV/m] ,y[V/m] が同じ量を表すとすると、 x = 20*log(y×1.0e6) の関係があります。
|
|
対称面と無限グランド面の設定 |
電磁波指向性計算についてをご覧ください。 |
| 設定:グラフの横軸 |
XYグラフの横軸、Polarグラフの回転角として用いる座標成分をθ、φ、周波数のいずれかより 選択します。周波数を選択した場合は、指定した観測点の中から最大値となる電界をプロットし ます。 |
|
オプション:座標系
|
観測点を指定する座標系として、極座標と円筒座標を選択できます。 |
|
オプション:入力方法 |
観測点の間隔を指定する方法を選択できます。分割数と間隔が選択できます。 |
|
オプション:複素数タイプ |
READ/IMAGと MAG/ANG から選択できます。 |
|
オプション:遠方界を使用する |
観測点が遠方にあるという仮定を使って求めた式で計算します。近傍では精度が落ちますが、計算時間が短くなります。 |
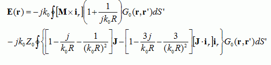
近傍界の計算式。
![]() |
|
ただし
![]() |
![]() |
|
|
E :
電界
H : 磁界 ir : 積分点から観測点へ向かう単位ベクトル r' : S上へのベクトル n :積分点上で境界面に垂直な外向きの法線ベクトル k0 :真空中の波数 Z0 :真空中の平面波インピーダンス r :観測点へのベクトル J :等価電流 M :等価磁流 |






