ホーム / 結果表示 / 特性値(チャート) / 指向性 / [詳細モード]電磁波指向性計算
[詳細モード]電磁波指向性計算
電磁波解析(調和解析)で開放境界を有する解析モデル(例えばアンテナ)の遠方界指向性を表示します。
放射パターンを正しく計算するためにはアンテナの周りを、包みこむように開放境界条件が設定されていることが必要です。
[結果表示]タブの
の[特性値チャートの表示]
の右横の▼を押下し、
サブメニューから[指向性]を選択すると[指向性計算]ダイアログが起動されます。
そのダイアログには、[簡易モード]電磁波指向性計算タブ、[詳細モード]電磁波指向性計算タブ、周辺電磁界計算タブがありますが、ここでは[詳細モード]電磁波指向性タブの説明を行います。
-
アンテナで典型的に使用する3面の結果を取得したい場合は、「[簡易モード]電磁波指向性計算」を利用してください。

|
項目 |
説明 |
|||||||||||
|
グラフの種類 |
XYグラフとポーラグラフのどちらかを表示することが可能です。ポーラーグラフは、グラフの横軸として、 角度が選択された時のみ利用できます。 |
|||||||||||
|
効率の計算 |
効率の種類で選択した効率を計算します。
|
|||||||||||
|
ファイル保存 |
計算結果をcsvファイルに保存します。 |
|||||||||||
|
観測点の位置 |
観測点の位置を原点からの角度で指定します。 それぞれの変数の意味はダイアログ右下の座標系の図を参照してください。
|
|||||||||||
|
Femtetでの 指向性 |
アンテナが作る電磁界を計算する方法として、アンテナを完全に囲む面S上に誘起される電磁流源から求める方法があります。 誘起される電磁流源はアンテナが面S上につくる電磁界から求められます。 指向性を計算する観測点ががアンテナから十分に遠方にある場合、観測点における電界は次式のように面S上の積分で表すことができます。[1]
Femtetではこの積分を、開放境界上行うことにより、指向性を計算しています。 参考文献[1] Finite Element Method for Electromagnetics :John L.Volakis Chapter1 |
|||||||||||
|
表示の種類 |
遠方での電界は上の式で示したとおりですが、実際のプログラムでは次のような計算を行っています。
まず(1)式を次のように変形します。
ここで
(2)の式では左辺が遠方における電界と距離rの積になっていることに注意が必要です。
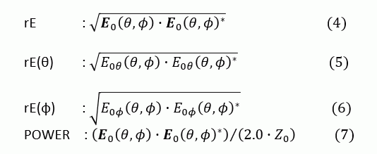
POWER,rE,rE(θ),rE(Φ)は、次のように計算しています。ただし、E0θはE0のθ成分、E0ΦはE0のΦ成分です。
プログラムの表示の種類でpowerを選択すると(7)式を、rEを選択すると(4)式、rE(θ)は(5)式、 rE(φ)は (6)式をそれぞれ計算しています。
偏波面(水平偏波、垂直偏波、E面、H面)を指定した放射特性を求めるには、解析モデルの方向と座標系 から考えて、対応するrE(θ)、rE(φ)を指定します。
rER、rEL、軸比は円偏波の放射特性を計算する時に用います。 rER=(rE(θ)+j rE(φ))/√2 : 右旋偏波 rEL=(rE(θ)-j rE(φ))/√2 : 左旋偏波 軸比 =(|rER| + |rEL|)/(|rER| - |rEL|)
|
|||||||||||
|
単位 |
表示の種類で示したように、式(4)~(7)で示された量が求められているので、その値をVとします。 その値が最大となる方向でのVの値をVmaxと書くことにします。
dB....10Log(V/Vmax) : POWERを選択している場合 20Log(V/Vmax) : POWER以外
dBi ...10Log(4π*V/Pin) : POWERの場合 10Log(2π*V*V/Z0/Pin) : POWER以外の場合 Pinは入力電力ですが、”利得の種類”の設定によって意味が変わります。 下にある”利得の種類”の説明も参考にしてください。
Linear(規格化あり)... V/Vmax Linear(規格化なし)... V Linear(複素数規格化なし)... E0 : (3)式参照 |
|||||||||||
|
対称面と無限グランド面の設定 |
対称境界として、磁気壁と電気壁を考えます。対称境界をはさんで、電界,磁界の方向は図1のような関係にあり、 その大きさは等しいと考えられます。この性質を使うことにより、1/2モデル,1/4モデル,1/8モデルでの電磁界 解析結果から全体モデルの放射特性を得ることができます。
対称境界はz=0のXY面,x=0のYZ面,y=0のXZ面のいずれかを指定することができます。
対称境界となる面の種類を、磁気壁,電気壁のどちらかを指定することにより、境界をはさんで対称な電磁界を 考慮した放射特性を計算することができます。 この場合メッシュ生成していない領域も含めて放射特性の計算を行うため、全体のモデルを計算する場合と同程度 の計算時間が必要となります。
無限グランド面は、モノポールアンテナのように、広いグランド面を持つモデルの放射特性を計算する場合に指 定します。
対称性、無限グランド面を利用した電磁波指向性計算の解析例(電磁波解析例題30)を参照
|
|||||||||||
|
設定:グラフの横軸
|
XYグラフの横軸、Polarグラフの回転角として用いる座標成分をθ、φ、周波数のいずれかより 選択します。周波数を選択した場合は、指定した観測点の中から最大値となる電界をプロットし ます。 |
|||||||||||
|
設定:その他の設定 |
電磁波指向性設定ダイアログの起動 |
|||||||||||
|
電磁波指向性設定ダイアログ: 入力方法 |
"分割数"と"間隔"が選択できます。観測点の間隔を指定する方法を選択できます。 |
|||||||||||
|
電磁波指向性設定ダイアログ: 効率の種類 |
"放射効率"と"トータル効率"が選択できます。
放射効率を選択した場合の計算は、以下の通りです。
放射効率の場合 : 効率 = 100×放射電力/(入力電力 - 反射電力) トータル効率の場合 : 効率 = 100×放射電力/入力電力
ただし 放射電力は(入力電力-反射電力-ジュール損など材料での損失)で求めています。
|
|||||||||||
|
電磁波指向性設定ダイアログ: 利得の種類 |
"入力電力基準"と"受け入れ電力基準"の2種類の利得計算方法が選択できます。
アンテナ利得の計算方法は、つぎのとおりです。G [dBi] とすると
G(θ,φ)=10×log10( P(θ,φ)/Piso)
P(θ,φ)は解析したアンテナが、(θ,φ)方向に放射する単位立体角当たりの電力で、Pisoは無指向性の アンテナが放射する単位立体角当たりの電力です。
"入力電力基準"を選択した場合: Piso=(入力電力)/4π (8) "受け入れ電力基準"を選択した場合: Piso=(受け入れ電力)/4π (9) 入力電力、受け入れ電力の説明図。 絶対利得を求めたい場合は、”受け入れ電力基準”を、動作利得を求めたい場合は、”入力電力基準”を選択してください。
Pinは、1ポートあたり1[W]がデフォルト値で、解析条件、調和解析タブで入力する値です。"入力電力基準" を選択した場合は、入力した電力を全て放射する無指向性アンテナとの比較をすることになります。また、 ”受け入れ電力基準”を選択した場合は、ポートでの反射分を取り除いた、実際にアンテナに伝わった電力分 だけ放射する無指向性アンテナを基準とすることになります。 上の(8),(9)式は、1ポートのみから入力した時の式ですが、複数ポートから入力している場合、Pisoは複数 ポート分の足し合わせの電力になります。
|
|||||||||||
放射パターンと具体的な設定例
放射特性を見る為に、極座標系図を見て極座標を理解してください。極座標のφ、θは、観測点の位置を表す為、また、
極座標の単位ベクトルは、偏波方向を指定する為に必要です。 今、ダイポールアンテナを含む、XZ面とYZ面
での放射特性を、ダイポールアンテナと電界が平行となる偏波について調べます。
指向性計算ダイアログで、"観測点の位置"、φの設定を、最小値0[deg]、最大値 90[deg]、分割数1 の設定にし、
φ=0[deg](XZ面に対応)、φ=90[deg](YZ面に対応)の面上で放射特性の計算をします。偏波方向は、”表示
の種類”で"rE(θ)"を選択することで指定します。これは極座標系の単位ベクトルeθに平行な電界成分をもつ、
偏波成分を取り出す事を意味します。つまりθ=0の時、ダイポールアンテナと電界が平行となる偏波を見る事になります。
下の放射パターン図を見てください。ダイポールアンテナの8の字の放射特性が得られました。
下の表には代表的な放射パターンを表示する為の設定を、示しています。
注意:下のダイアログで、周波数が5GHzだけ表示されているのは、5GHzだけを計算した時の結果を使ったからです。


指向性計算ダイアログの図 放射パターン図
|
観測点の移動する面 |
偏波 |
観測点の位置(φ、θ) |
表示の種類 |
設定、グラフの横軸 |
|
XZ面、YZ面 |
eθ |
φ(0,90,1)、θ(-180,180,100) |
rE(θ) |
θ |
|
XZ面、YZ面 |
eφ |
φ(0,90,1)、θ(-180,180,100) |
rE(φ) |
θ |
|
XY面 |
eθ |
φ(-180,180,100)、θ(90,90,0) |
rE(θ) |
φ |
|
XY面 |
eφ |
φ(-180,180,100)、θ(90,90,0) |
rE(φ) |
φ |




:電界
:磁界
:観測点方向への単位ベクトル









