ホーム / テクニカルノート / 流体解析/熱流体解析 / 自由表面解析(VOF法)
自由表面解析(VOF法)
流体解析[Bernoulli]のオプションである自由表面解析(VOF法)について説明します。
混相流を解析する手法の1つであるVOF法は、複数存在する相の自由表面(相の境界)の移動を解析する手法になります。
1. VOF法
1.1 特徴
・固定したメッシュで解析を行う(メッシュの境界≠相の境界)
・それぞれの相の占有率を体積分率として表現する
・体積分率で重みづけした平均の物性値で流れの計算を行う
・体積分率の変化している箇所付近を境界とみなす
例えば、相1:空気、相2:水としたときの相2(水)の体積分率は、以下の通りとなります。
遷移領域が空気と水の境界領域となります。
境界は遷移領域の幅を持っていることになりますが、α1 = α2 = 0.5の等値面を境界とみなすこともできます。
|
空気相:α1=1.0 水相:α2=0.0 |
|---|---|
|
空気相 0.0<α1<1.0 水相:0.0<α2<1.0 |
|
空気相:α1=0.0 水相:α2=1.0 |


1.2 解析例
1.3 求解している方程式
「流体解析/熱流体解析で求解している微分方程式」を参照してください。
2. VOF法で考慮される外力
重力
VOF法では、密度の異なる相が混在するため、重力により密度の高い相が下降する力が働きます。
体積分率で重みづけした平均の密度に応じた重力により流体が移動します。
「重力を考慮する」をチェックすることで、重力を考慮した解析を行うことができます。
表面張力
異なる相の界面である自由表面では表面の曲率に応じた表面張力が発生します。
また、固体との接触部では表面張力に接触角による補正が行われます。
接触角は、固体の壁に対する親水性/撥水性の強さを示します。
相2を水とすると、接触角が小さいほど親水性が高く、接触角が大きいほど撥水性が高くなります。
|
接触角 < 90° 親水性 |
接触角 > 90° 撥水性 |
|---|---|
|
|
|
「表面張力を考慮する」をチェックすることで、表面張力を考慮した解析を行うことができます。
相の組み合わせ毎に表面張力の係数と接触角を設定します。
接触角は、解析条件でデフォルト値を設定します。
ボディ属性「固体」タブで、固体ボディ毎に接触角を設定することができます。⇒「混相流の設定[固体壁面]」
親水性を有する固体と撥水性を有する固体材料が混在する解析が可能です。
また特定の境界についても、境界毎に接触角を設定することができます。⇒「混相流の設定[壁面]」
実際には、界面移動時の接触角は一定ではなく、界面の進行方向や進行速度で変化します。これは動的接触角と呼ばれています。
ここで入力している接触角は、静的接触角(定常状態での接触角)となりますので、定常状態へ至る途中経過は実際とは異なる可能性があります。
計算で使われている表面張力の式については、「流体解析/熱流体解析で求解している微分方程式」4.4を参照してください。
3. VOF法を使用する上での注意点
3.1 VOF法の適用範囲
気体/液体など、流体同士の界面がはっきりしていて互いに混じり合わない現象の解析に使用することができます。
界面の移動を計算するという特性から、過渡解析のみ可能となっております。
定常状態を求めたい場合、過渡解析で定常状態に至るまでの長時間の解析が必要となります。
3.2 時間ステップ
1時間ステップあたりの界面の移動が複数のメッシュを超えて移動してしまう場合に、著しく界面の精度が落ちてしまうため、非常に細かい時間ステップが必要となります。
界面の移動速度が一定とすると、細かいメッシュにするほど、より細かい時間ステップが必要となることから、VOF法の解析は、通常の流体解析と比べ多大な解析時間を要する解析となります。
また、初期状態が不安定な状態の場合、解析開始直後に発散する場合があるので、そういった意味でも時間ステップを細かくする必要があります。
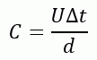
時間ステップの目安として、クーラン数というものがあります。
1時間ステップあたりいくつのメッシュを超えて移動するかということを示す値です。
これが1を大きく超えると精度が著しく悪くなります。
クーラン数は以下の式で定義されます。

C:クーラン数、U:流速[m/s]、Δt:時間ステップ[s]、d:メッシュサイズ[m]
理想的にはクーラン数が1以下となるような時間ステップ設定が必要となります。
クーラン数は解析結果フィールドで分布を確認することができます。
また、解析領域内の最大クーラン数、及び最大クーラン数から算出できる推奨時間ステップを確認することができます。
3.3 定常状態の計算
定常状態を計算したい場合、過渡解析で非常に長い時間ステップの解析をする必要があります。
あらかじめ設定しておいた時間ステップの設定で定常状態にいたらなかった場合、リスタートを行うことで解析を続行することができます。
また、接触角を考慮した計算で、界面の振動が発生しなかなか定常状態に至らない場合があります。
この場合、粘度を10倍等大きな値にすることで振動を抑制することができます。
定常状態の計算は、表面張力と重力のつり合いの状態を計算していることになるので、
粘度の変更は定常状態の計算の結果には影響がないと言えます。
リスタート時に粘度の変更をすることも可能ですので、定常状態に近い状態になった段階で、粘度を10倍等にして定常状態を求めるという解析も可能です。
「例題16_毛細管現象の解析」を参照してください。
3.4 メッシュ
一般に、界面の形状を正確に再現するためには規則正しい細かいメッシュが望ましいと言われています。
2次元解析では、4角形フリー/スイープメッシュ、3次元解析では、6面体フリー/スイープメッシュを推奨しています。
3次元解析において、6面体フリーメッシュはメッシュの質が悪く、計算が収束しないなどの問題が発生しやすいため、
スイープメッシュでメッシュが生成できるような形状にしておくことを推奨します。
6面体フリーメッシュ/スイープメッシュ使用時には、以下のようにスイープメッシュで生成された割合が出力ウィンドウに表示するされます。
100%となるようにボディを分割するなどの処理を行うことで、VOF法の計算の成功率を上げることができます。
スイープメッシュの説明については、「スイープメッシュとフリーメッシュ」を参照してください。

また、規則正しいメッシュが望ましいことから、積層メッシュはオフにすることを推奨しています。
積層メッシュが必要となるような、レイノルズ数の大きい流れの解析は困難であると言えます。
3.5 Femtetの推奨設定
上記注意点から、以下の設定を推奨します。
VOFの設定を行った場合、自動的に以下の設定が行われます。
2次元解析/軸対称解析
メッシュの設定:4角形フリー/スイープメッシュ
コントロールボリュームタイプ:要素中心型
積層メッシュ:生成しない
3次元解析
メッシュの設定:6面形フリー/スイープメッシュ
コントロールボリュームタイプ:要素中心型
積層メッシュ:生成しない
4. 設定方法
4.1 解析条件
解析条件「流体解析」タブの「混相流の設定」で相の設定やオプション設定を行います。
リスタートを行う場合、解析条件「流体解析」タブの初期値/リスタートで、「前回の解析結果を使用する」、もしくは、「他の解析結果を使用する」を選択します。
4.2 境界条件
境界条件「流体」タブの「混相流の設定[流入]」で流入する相の設定を行います。
境界条件「流体」タブの「混相流の設定[壁面]」で壁面の接触角の設定を行います。
4.3 ボディ属性
ボディ属性「固体」タブの「混相流の設定[固体壁面]」で固体壁面の接触角の設定を行います。
4.3 初期状態の設定方法
ボディに設定した材料定数を元に初期状態を決定します。
第1相に対して、第2相、第3相が部分的にでも重なる形で配置した場合、第1相に体積分率として転写して解析します。
重なっていない部分は解析対象外となります。
第1相の領域を解析領域として解析するため、必ず第1相として登録した材料定数が設定されたボディが存在している必要があります。
第2相、第3相の材料を設定したボディは体積分率転写用のボディとなるため、設定した境界条件は反映されません。
境界条件を設定する場合は、第1相の材料定数を設定したボディに設定してください。
転写した体積分率は、結果表示「メッシュ」のフィールド「第2相初期体積分率」「第3相初期体積分率」で確認することができます。
|
|
配置 |
解析領域の転写状態 |
|---|---|---|
|
|
|
|
|
|
|
|
|
メッシュサイズが大きい場合、定義した形状から、形状のメッシュ生成、転写の過程で精度が落ちる場合があります。
出力ウィンドウに、転写の精度について確認することができます。

転写領域率は、下記表のAの面積(体積)に対するBの面積(体積)の割合になります。
内包するように重ねて配置している場合、100%になるはずですが、転写される第1相として定義した領域のメッシュサイズが大きい場合には100%から外れてきます。
改善したい場合は、転写される第1相として定義した領域のメッシュサイズを小さくする必要があります。
|
第2相として定義した領域(A) |
転写後の領域(B) |
|---|---|
|
|
|
5. 結果表示の方法
・フィールドで各相の体積分率を表示することができます。

・境界を観察したい場合、ラインコンタ―図(2次元解析、3次元解析の断面表示時)、等高面コンター図(3次元解析))を使用することで、境界を表示することができます。



・結果テーブルで各相の体積、質量の推移を確認することができます。
(2次元解析の場合、奥行方向の厚みを使用した体積が表示されます)
・結果テーブルで最大クーラン数、推奨時間ステップの推移を確認することができます。

・界面の位置座標の抽出
体積分率が0.5となる位置(座標)を取得したい場合、以下のマクロを使用してください。
「VOF_CaptureBoundary_Macro.xlsm」
使用例は「例題16_毛細管現象の解析」を参照してください。
6. ワーニング/エラー対処方法
<ワーニング>
①第2相として指定された流体相領域の体積/面積に対して初期値として転写された領域の体積/面積が小さくなっています(90%以下)
4.3の重ねて配置(はみでている)の状態のときに表示されます。
転写状態が意図した通りになっているかどうか確認してください。
<エラー>
①E2292 自由表面の解析(VOF法)の体積分率初期化に問題があります。(転写領域率:5%以下)
4.3の重ねて配置(はみでている)の状態で、転写される面積が小さすぎる場合、エラーとなります。
重ねて配置しているボディの形状を変更してください。
②E2293 自由表面の解析(VOF法)の体積分率初期化に問題があります。(転写領域率:120%以上)
メッシュサイズが大きすぎる場合に、転写率が100%からずれる場合があります。
メッシュサイズを小さくすることで解消することができます。
③自由表面の解析(VOF法)で登録されていない流体相の材料が指定されています。自由表面の解析の設定で相の材料を追加する必要があります。
解析条件「流体解析」タブの「混相流の設定」の相の設定を確認してください。












