ホーム / テクニカルノート / 応力解析 / 応力過渡解析
応力過渡解析
応力過渡解析に関連してNewmark法およびレイリー減衰係数について解説します。
(注)応力過渡解析は特別オプション機能です。
運動方程式

応力過渡解析ではテクニカルノート「応力解析の行列方程式」に示したとおり、上記の運動方程式を解いています。
Femtetではこの方程式を時間ステップ⊿t毎に陰解法の一つであるNewmark法を用いて解いています。
以下にNewmark法について簡潔に示します。
Newmark法
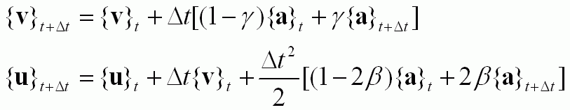
Newmark法は直接時間積分法の一つであり、時刻tにおける加速度、速度、変位が既知である場合に
微小時間⊿t後の速度と変位をパラメータγおよびβを用いて以下のように近似します。

この近似式を用いて微小時間⊿t後における加速度および速度を変位増分{⊿u}に依存する項と依存しない項に分離し、
運動行列方程式を以下の式に変形して、時間ステップを刻んで解いています。

FemtetではNewmark法のパラメータγおよびβについて自動設定、もしくはユーザー設定のいずれも可能です。
[K]は接線剛性行列であり、弾性定数、密度、後述のレイリー減衰係数がこの行列に反映されます。
{f}は荷重ベクトルであり、変位境界、荷重境界や、密度、後述のレイリー減衰係数がこのベクトルに反映されます。
{Q}は内力ベクトルであり、前回のステップで計算されたひずみや応力がこのベクトルに反映されます。
{Δu}は変位ベクトル増分であり、この方程式の未知数です。
参考文献:
「計算力学ハンドブック(I 有限要素法 構造編)」日本機械学会
非線形解析
一般的に、以下の3つのいづれかを含む場合を、非線形解析と呼びます。
③接触解析
非線形解析では、接線剛性行列、荷重ベクトル、内力ベクトルが増分解析前後で一定ではないため、
1回の計算では変位ベクトル増分を求めることはできません。
実際には、上記行列方程式を複数回反復して、正しい変位ベクトル増分に近づけていきます。
この反復計算手法をニュートン・ラプソン法と呼びます。
詳細はテクニカル・ノート「ニュートン・ラプソン法と応力解析の収束判定」を参照してください。
レイリー減衰係数
Femtetではレイリー減衰係数を非ゼロに設定することで減衰を考慮した過渡解析を行うことができます。
以下に減衰行列とレイリー減衰係数の関連について示します。

過渡解析の運動方程式の減衰行列[C]を質量行列[M]および剛性行列[K]から算出しています。
それぞれの比例係数α、βが0の場合は減衰ゼロとして解くことができます。
Femtetではα、βを解析条件で設定したり、ボディ属性毎に設定することが可能です。
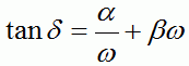
レイリー減衰を振動の周波数成分に対する減衰の効果と考えると、
tanδ(損失正接)は角周波数ωを用いて以下の式で表されます(式の導出は「応力解析における減衰」を参照してください)。

例として、α=0.1[/s]、β=0.1[s]の場合のtanδの周波数依存性を示します。
αは低周波振動の減衰、βは高周波振動の減衰を表します。

参考文献:
「計算力学ハンドブック(I 有限要素法 構造編)」日本機械学会 75p
「非線形有限要素法の基礎と応用」丸善 261p


