ホーム / ボディ属性、材料、境界条件の設定 / 材料定数タブ一覧 / 粘弾性タブ
粘弾性タブ
材料の粘弾性を設定するタブです。
粘弾性材料は
①応力解析タブの解析の種類「静解析」かつ、ステップ/熱荷重タブの時刻設定「設定する」の場合
②応力解析タブの解析の種類「過渡解析」の場合
③応力解析タブの解析の種類「調和解析」の場合
④圧電解析タブの解析の種類「調和解析」の場合
のみ設定可能となります。
[材料定数の編集]ダイアログに表示されます。ダイアログの表示方法は「ボディ属性/材料定数の設定方法」を参照してください。
テクニカルノート粘弾性材料の応力解析にも説明がありますので参照してください。
(注)粘弾性解析は特別オプション機能です。

|
設定項目 |
解説 |
||||||||
|
粘弾性の入力形式 |
粘弾性なし、プロニー級数[係数入力]、複素弾性率[周波数特性]、複素弾性率[温度周波数特性]、緩和弾性率のいずれかを選択します。
|
||||||||
|
緩和タイプ |
粘弾性の入力形式がプロニー級数[係数入力]、複素弾性率[周波数特性]、複素弾性率[温度周波数特性]、緩和弾性率の場合に入力できます。
緩和タイプとして、せん断成分・体積成分/せん断成分のみ/体積成分のみのいずれかを選択できます。
|
||||||||
|
緩和テーブル[プロニー級数] |
粘弾性の入力形式がプロニー級数[係数入力]のときに緩和テーブルボタンをクリックすると以下のダイアログが表示されます。 弾性率係数βi、緩和時間Ti[s]の組みを入力してください。 βiの合計が1以下になるように入力してください。
プロニー級数の説明は、粘弾性材料の応力解析を参照してください。
グラフボタンを押すと緩和弾性率の時間変化、及び、 確認できます。
|
||||||||
|
緩和テーブル[複素弾性率] |
粘弾性の入力形式が複素弾性率[周波数特性]、複素弾性率[温度周波数特性]のときに緩和テーブルボタンをクリックすると以下のダイアログが表示されます。
・粘弾性の入力形式が複素弾性率[周波数特性]の場合
テーブルに周波数、複素弾性率(貯蔵弾性率と損失弾性率)データを入力してください。
手元のデータが緩和タイプが指定する弾性率と異なる場合、ヤング率、せん断弾性率、体積弾性率は
・粘弾性の入力形式が複素弾性率[温度周波数特性]の場合
粘弾性材料の材料定数の測定は、温度と周波数を変化させながら、複素弾性率(貯蔵弾性率と損失弾性率)を測定する方法が主流です。 測定データを直接入力できるようにしてあります。 テーブルには温度、周波数、複素弾性率(貯蔵弾性率と損失弾性率)測定データを入力してください。
・入力データは緩和タイプに応じて設定する(上記表参照) ・周波数の入力順は、昇順、降順どちらでも良いがテーブル内で統一させる ・1セット中の温度データは、一定が好ましいがばらつきを含んでいても良い(1セット内の平均値を代表温度として扱います) ・温度の入力順は、昇順、降順どちらでも良いがテーブル内で統一させる
入力例のイメージを示します。
周波数グラフボタンを押すと、複素弾性率(貯蔵弾性率、損失弾性率)の周波数依存のグラフを確認できます。
温度グラフボタンは、粘弾性の入力形式が複素弾性率[温度周波数特性]のときに選択できます。 複素弾性率(貯蔵弾性率、損失弾性率)の温度依存のグラフを確認できます。
マスターカーブ設定/確認、カーブフィット設定/確認は高度な内容となるため、 通常は設定の変更は必要はありません。
マスターカーブを作成する場合、マスターカーブを描画する基準温度が必要となります。
不正温度データを除去にチェックが入っている場合、
マスターカーブボタンを押すと、マスターカーブ作成の状況(複素弾性率(貯蔵弾性率、損失弾性率)の周波数依存のグラフ)を確認できます。 シフト関数ボタンを押すと、シフト関数作成の状況(シフトファクター温度依存のグラフ)を確認できます。
周波数1桁当りの要素数で、プロニー級数に換算(カーブフィット)する際の要素数を決めることができます。
損失弾性率を重視するウェイトで、プロニー級数に換算(カーブフィット)する際、大きな値を入力することで測定データの損失弾性率を一致させることができます。 計算上は、1を入力すると、貯蔵弾性率と損失弾性率を均等に扱います。
カーブフィットボタンを押すと、マスターカーブと、換算したプロニー級数により得られたカーブフィット後のマスターカーブを比較することができます
データのファイル出力ボタンを押すと、弾性率総和、要素数、基準温度、 |
||||||||
|
緩和テーブル[緩和弾性率] |
粘弾性の入力形式が緩和弾性率のときに緩和テーブルボタンをクリックすると以下のダイアログが表示されます。
テーブルに時刻、緩和弾性率データを入力してください。
手元のデータが緩和タイプが指定する弾性率と異なる場合、ヤング率、せん断弾性率、体積弾性率は
時刻1桁当りの要素数で、プロニー級数に換算(カーブフィット)する際の要素数を決めることができます。
カーブフィットボタンを押すと、入力データと、換算したプロニー級数により得られたカーブフィット後の緩和弾性率を比較することができます データのファイル出力ボタンを押すと、弾性率総和、要素数、
|
||||||||
|
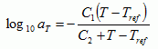
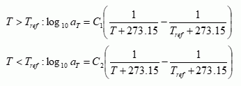
温度依存性(シフト関数) |
解析条件の熱荷重オプションがオン、かつ、粘弾性の入力形式がプロニー級数[係数入力]、複素弾性率[周波数特性]の場合に選択できます。
温度によって緩和時間が変化する度合いをシフトファクターaTと呼び、 これの常用対数値を入力します。 例えば、log10aT = -1のとき、緩和時間は1/10になります。 テクニカルノート粘弾性材料の応力解析にも説明がありますので参照してください。
WLF式/アレニウス式/任意テーブル のいずれかを選択します。
シフト関数グラフボタンをクリックすると入力したシフトファクターの温度依存性がグラフ表示されます。
|









をクリックすると[温度_シフトファクターlog10aT]曲線テーブルが開きます。