ホーム / テクニカルノート / 応力解析 / 非線形材料の解析 / 粘弾性材料の応力解析
粘弾性材料の応力解析
(注)粘弾性解析は特別オプション機能です。
粘弾性材料の解析
応力静解析、過渡解析、応力解析と圧電解析の調和解析、では粘弾性材料を使用した解析を行うことが可能です。
粘弾性材料は、樹脂材料・高分子材料の時間・温度変化に伴う変形等を解析するために使われます。
このページでは、粘弾性材料の理論について記述しています。
材料の設定については粘弾性タブ、具体的な例題は「例題51 粘弾性材料の変形解析」「例題60 樹脂硬化後の冷却による基板反り解析」を参照してください。
粘弾性材料の二つの特徴
粘弾性材料は、以下の二つの特性を持ちます。
・応力緩和
変形を一定に保ったときに内部の応力が時間とともに徐々に緩和していく特性

・クリープ変形
応力を一定に保ったときに、時間ともに徐々に変形が大きくなっていく特性

これらの特性を持つ材料の解析に使用します。
クリープ材料も同じ特性を示しますが、材料定数の設定の仕方が異なるため、
クリープとは異なる材料として扱います。このため、クリープ材料と粘弾性材料の両方を設定することはできません。
クリープ材料に関しては、クリープ材料の応力解析を参照してください。
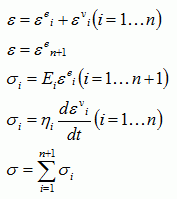
粘弾性モデル(一般化マクスウェルモデル)
粘弾性材料の二つの特性を表現するために、粘弾性解析では、
・弾性要素(ばね要素)
・粘性要素(ダッシュポット要素)
を組み合わせた回路としてモデルを考えます。
以下に弾性要素と粘性要素の性質をまとめます。
弾性要素は与えた一定の力に比例して伸び量が決まります。(伸び量一定)
弾性要素は与えた一定の伸びに比例して応力が決まります。(応力一定)
粘性要素は与えた一定の力に比例して伸びの速度が決まります。時間とともに伸びが大きくなっていきます。
粘性要素は与えた一定の伸び(伸びに変化がない、伸びの速度=0)に対して、応力は発生しない。
弾性要素と粘性要素を直列に組み合わせたものをマクスウェル要素、
並列に組み合わせたものをケルビン・フォークト要素モデルと呼びます。
マクスウェル要素は応力緩和を表現するのに適しおり、ケルビン・フォークトモデルはクリープ変形を表現するのに適していると言われています。
以下に、マクスウェルモデルを示します。


ひずみが一定のときの応力の変化を緩和弾性率として記述します。
また、ヤング率と粘性係数の比を緩和時間と呼びます。
一般に、様々な材料のクリープ変形特性、応力緩和特性に対応するために、
弾性要素と粘性要素をマクスウェル要素を並列に組み合わせた、以下のような一般化マクスウェル要素を使用されています。

一般化マクスウェルモデルに静的ひずみを与えたときの応答
一定ひずみを与えた場合、応力は、緩和弾性率(応力緩和挙動)を用いて表すことができ、
時間とともに応力が緩和していきます。

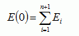
緩和弾性率の式は、初期弾性率:E(0)、弾性率係数:βiを用いて以下のように変形できます。
これにより、弾性率(本来の変形のしにくさ)を示す項と、緩和特性の項に分離します。
![]() |
| 弾性項 緩和特性項 |
|
初期弾性率 |
![]() |
|
弾性率係数 |
![]() |
各マクスウェル要素の弾性率係数:βi、緩和時間:Tiの組によって、緩和挙動を決定することができます。
このように複数の異なる緩和挙動を示す材料の足し合わせで緩和挙動を示す方法をプロニー級数表示と言います。
β∞は、長期弾性率(時間が∞のときの弾性率)の係数であり、負の値を取ることはありません。
初期弾性率、弾性率係数、緩和時間が、緩和弾性率曲線において、何を示しているかを例として示します。
緩和時間は弾性率が低下するタイミングを示し、弾性率係数は弾性率が低下する度合いを示します。
初期弾性率E(0):1GPa、β1:0.2、T1:1、β2:0.4、T2:100の場合

一般化マクスウェルモデルに一定周波数で振動する動的ひずみを与えたときの応答(周波数応答)
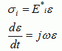
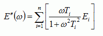
一定周波数f(角周波数ω=2πf)で振動するひずみを与えた場合、応力は複素弾性率(貯蔵弾性率と損失弾性率)を用いて表すことができます。
粘性要素に起因する位相の遅れδが発生します。
| 関係式 | 応力とトータルひずみの関係
[トータルひずみが振動していると仮定] |
![]() |
![]() |
| 緩和時間 | |
![]() |
|
| 複素弾性率 | |
![]() |
| 実部:貯蔵弾性率 |
![]() |
| 虚部:損失弾性率 |
![]() |
| 損失正接 |
![]() |
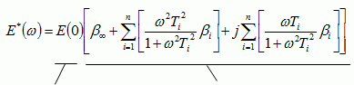
複素弾性率の式は、初期弾性率:E(0)、弾性率係数:βiを用いて以下のように変形できます。
これにより、弾性率(本来の変形のしにくさ)を示す項と、振動特性の項に分離します。
![]() |
| 弾性項 振動特性項 |
各マクスウェル要素の弾性率係数:βi、緩和時間:Tiの組によって、振動挙動を決定することができます。
このように複数の異なる緩和挙動を示す材料の足し合わせで緩和挙動を示す方法をプロニー級数表示と言います。
β∞は、長期弾性率(時間が∞のときの弾性率)の係数であり、負の値を取ることはありません。
初期弾性率、弾性率係数、緩和時間が、複素弾性率周波数特性において、何を示しているかを例として示します。
緩和時間は損失弾性率が極大となるタイミングを示し、弾性率係数は弾性率が増加する度合いを示します。

粘弾性材料の三次元的挙動
ここまでは説明のため、初期弾性率として一次元のヤング率を使用した式で説明しましたが、
粘弾性解析では、三次元的な挙動を考えるため、初期弾性率のヤング率Eの代わりに、
せん断弾性率Gと体積弾性率Kが用いられます。
応力、ひずみ(変形)は、せん断成分、体積成分に分離することができ、
それぞれの成分に対して、粘弾性変形を計算します。
せん断成分のみ粘弾性を考慮する、あるいは、体積成分のみ粘弾性を考慮することも可能です。

G(t):せん断緩和弾性率[Pa]、K(t):体積緩和弾性率[Pa]
G0:初期せん断弾性率[Pa]、K0:初期体積弾性率[Pa]
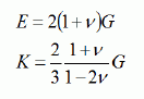
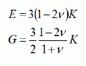
なお、ヤング率とせん断弾性率、体積弾性率はポアソン比を用いて以下の式で換算できます。
|
・ヤング率E⇒G、K |
・せん断弾性率G⇒E、K |
・体積弾性率K⇒E、G |
![]() |
![]() |
![]() |
Femtetでの粘弾性材料定数設定方法
①プロニー級数入力(熱荷重を考慮する場合、温度依存性の設定も必要)
②周波数特性入力(熱荷重を考慮する場合、温度依存性の設定も必要)
③温度周波数特性入力
の三つの方法で材料定数を入力することができます。
粘弾性材料特性を測定する方法として、
静的な測定(一定ひずみ下で応力緩和を測定する、もしくは、一定応力下でクリープひずみを測定する)と、
動的な測定(周期的なひずみを与えて応力の応答を測定する、もしくは、周期的な応力を与えてひずみの応答を測定する)があります。
静的な測定では、緩和弾性率が、動的な測定では複素弾性率が測定データとして出力されます。
粘弾性材料特性を測定する方法としては、動的な測定が一般的であり、より広い領域の周波数帯での材料特性を得るため、
周波数だけでなく温度も変化させて測定する方法が用いられています。
②③では、動的な測定方法を用いて測定した測定データを直接入力することができます。
Femtetでの粘弾性材料定数設定方法-①プロニー級数入力
粘弾性材料の解析に必要な材料定数は、静解析、および、過渡解析の場合、緩和弾性率、調和解析の場合、複素弾性率になります。
・静解析、過渡解析の場合
弾性項(G0:せん断弾性率、K0:体積弾性率)は、弾性定数タブで入力したヤング率、ポアソン比から算出されます。
緩和特性項は粘弾性タブの緩和テーブルでプロニー級数を設定します。
・調和解析の場合
弾性項(G0:せん断弾性率、K0:体積弾性率)は、弾性定数タブで入力したヤング率、ポアソン比から算出されます。
振動特性項は粘弾性タブの緩和テーブルでプロニー級数を設定します。
Femtetでの粘弾性材料定数設定方法-②周波数特性入力
粘弾性材料の解析に必要な材料定数は、静解析、および、過渡解析の場合、プロニー級数と初期弾性率、
調和解析の場合、複素弾性率になります。
・静解析、過渡解析の場合
粘弾性タブの緩和テーブルで複素弾性率の周波数特性を設定します。
複素弾性率は緩和タイプに合わせてヤング率、せん断弾性率、もしくは、体積弾性率を入力します。
静解析で解析するため、解析開始前に以下のデータ加工が自動で行われます。
・変換した周波数特性をさらにプロニー級数に変換し、同時に初期弾性率を算出
・調和解析の場合
粘弾性タブの緩和テーブルで複素弾性率の周波数特性を設定します。
複素弾性率は緩和タイプに合わせてヤング率、せん断弾性率、もしくは、体積弾性率を入力します。
解析開始前に以下のデータ加工が自動で行われます。
・変換した周波数特性をさらにプロニー級数に変換し、同時に初期弾性率を算出
・プロニー級数と初期弾性率から、周波数特性の再構築
プロニー級数へのデータ変換に関しては、粘弾性材料測定データの変換を参照してください。
Femtetでの粘弾性材料定数設定方法-③周波数温度特性入力
粘弾性材料の解析に必要な材料定数は、静解析、過渡解析の場合、プロニー級数と初期弾性率、
調和解析の場合複素弾性率になります。
・静解析、過渡解析の場合
粘弾性タブの緩和テーブルで複素弾性率の、複数の温度での周波数特性を設定します。
複素弾性率は緩和タイプに合わせてヤング率、せん断弾性率、もしくは、体積弾性率を入力します。
静解析で解析するため、解析開始前に以下のデータ加工が自動で行われます。
・複数の温度での周波数特性をマスターカーブに統合して参照温度での周波数特性に変換すると同時に、シフト関数(シフト関数は後述)を作成
・変換した周波数特性をさらにプロニー級数に変換し、同時に初期弾性率を算出
・調和解析の場合
粘弾性タブの緩和テーブルで複素弾性率の、複数の温度での周波数特性を設定します。
複素弾性率は緩和タイプに合わせてヤング率、せん断弾性率、もしくは、体積弾性率を入力します。
調和解析で解析するため、解析開始前に以下のデータ加工が自動で行われます。
・複数の温度での周波数特性をマスターカーブに統合して参照温度での周波数特性に変換すると同時に、シフト関数(シフト関数は後述)を作成
・変換した周波数特性をさらにプロニー級数に変換し、同時に初期弾性率を算出
・プロニー級数と初期弾性率、シフト関数から、周波数特性を再構築
データ変換に関しては、粘弾性材料測定データの変換を参照してください。
Femtetでの粘弾性材料定数設定方法-温度依存性
粘弾性材料に温度変化があった場合、緩和の速度を加速したり、遅らせたりする効果が発生します。
一般に、温度が高いほど緩和の速度が加速され、早く緩和するのに対して、温度が低いほど
緩和の速度が遅れて、緩和しにくくなります。
温度に対して、どれだけ加速、遅延するかを示す係数(シフトファクター)を設定します。
シフトファクターの温度依存性の関係をシフト関数と呼びます。
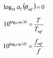
シフト関数log10 aTには以下の特徴があります。

θref:基準温度、θ:温度、T:時間、Tref:基準時間、f:周波数、fref:基準周波数
これにより、温度θを時間Tに換算したり、温度θを周波数fに換算したりすることができます。
Femtetでは、一般に良くつかわれる式(WLF式、アレニウス式)の係数を指定してシフト関数を定義する方法と、
温度とシフトファクターのテーブルでシフト関数を定義する方法があります。
設定方法は、粘弾性タブの説明を参照してください。
シフトファクターの設定例を示します。
温度-10[deg]で、シフトファクターlog10aT =1、温度0[deg]で、シフトファクターlog10aT =0、温度10[deg]でシフトファクターlog10aT =-1の場合

温度0[deg]では、緩和テーブルで設定した緩和弾性率がそのまま使われます。
温度-10[deg]では、緩和テーブルで設定した緩和弾性率を、1桁分右側にシフトして時間を遅延させた緩和弾性率が使われます。
温度+10[deg]では、緩和テーブルで設定した緩和弾性率を、1桁分左側にシフトして時間を1桁加速させた緩和弾性率が使われます。
Femtetでの粘弾性材料定数設定方法(簡易設定)
ヤング率の温度依存性とガラス転移点(Tg)という簡易的な情報を元に設定する方法があります。
詳しくは「粘弾性(簡易設定)について」を参照してください。
Femtetで粘弾性解析が可能な材料設定
Femtetでは以下の範囲の材料で粘弾性解析を行うことができます。
クリープ材料との併用はできませんので、クリープタブのクリープの種類は、「クリープなし」を設定してください。
・「線膨張係数タブ」(温度依存性あり/なし、等方性/異方性)
※簡易設定を使用する場合は、粘弾性の入力形式を「粘弾性なし」を設定し、
・「弾性定数タブ」において、(温度依存性あり、等方性、材料の種類:粘弾性(簡易設定))を設定してください。
Femtetで粘弾性解析を行う場合の解析条件
Femtetで粘弾性解析を行うには、以下のいずれかの設定をする必要があります。
①応力解析タブで、解析の種類「静解析」を選択し、ステップ/熱荷重タブで、時刻設定「設定する」を選択
緩和弾性率に従ったクリープ、応力緩和挙動を解析することができます。
②応力解析タブで、解析の種類「過渡解析」を選択
緩和弾性率に従ったクリープ、応力緩和挙動を解析することができます。
③応力解析タブで、解析の種類「調和解析」を選択
周波数依存性を持つ複素弾性率に従って、各周波数における減衰挙動を解析することができます。
④圧電解析タブで、解析の種類「調和解析」を選択
周波数依存性を持つ複素弾性率に従って、各周波数における減衰挙動を解析することができます。
Femtetで結果表示できるフィールド
クリープ解析と同じ性質をもつことから、クリープ解析同様、クリープひずみ、相当クリープひずみ、
累積相当クリープひずみ、累積相当非弾性ひずみを表示することができます。
















