ホーム / テクニカルノート / 応力解析 / 非線形材料の解析 / 粘弾性(簡易設定)について
粘弾性(簡易設定)について
(注)粘弾性(簡易設定)は特別オプション機能です。
Femtetでは、ヤング率の温度依存性という簡単な設定から自動的に粘弾性定数を見積もって計算する機能があります。
「弾性定数タブ」温度依存性編集テーブルで設定することができます。
ヤング率の温度依存性を弾性体として扱うよりも精度の高い解析が出来る場合があります。
ここではその機能について解説します。
粘弾性材料の解析に必要なデータ
温度変化のある粘弾性解析を行うには、プロニー級数とシフト関数が必要となります。(「粘弾性材料の応力解析」参照)
これらを得る方法として、動的粘弾性測定を行い、貯蔵弾性率と損失弾性率の周波数、温度依存性を測定する方法があります。
以下に、ある高分子材料について、横軸に温度を取った場合の動的粘弾性測定データを示します。
⇒詳細データはcsvファイルViscoelast_Mat.csvを参照してください。

これらの情報があれば、「粘弾性材料測定データの変換」に示す方法により、プロニー級数とシフト関数を取得することができます。
高分子材料の特徴として、ある温度で急激に貯蔵弾性率が変化し、損失弾性率が極大を示す温度が存在します。
これをガラス転移点(Tg)と呼びます。このデータでは、140℃がガラス転移点となります。
また、測定周波数が高いほど急激に貯蔵弾性率が変化する温度は高温側へシフトしますが、シフト量は小さく、
周波数依存性は大きくありません。
簡易設定の考え方
・対称とする材料がガラス転移点(Tg)を持つ高分子材料であり、ガラス転移点によりシフト関数が決定できる
・測定周波数を変えても温度依存性はほとんど変わらない
という仮定を用いて、ガラス転移点(Tg)とヤング率(貯蔵弾性率)の温度依存性の情報から以下の方法で
シフト関数とプロニー級数を自動作成します。
ここでは、ガラス転移点(Tg) = 140℃で、以下の温度依存性ヤング率を持つデータを例に説明します。
このデータは、上記動的粘弾性測定の1Hzの貯蔵弾性率の結果を抜き出したものになります。
⇒詳細データはcsvファイルSimpleViscoelast_Mat.csvを参照してください。

シフト関数の作成方法
ガラス転移点(Tg)を持つ高分子材料において、ガラス転移点(Tg)以上の領域のシフト関数は、
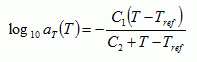
以下のWLF式で表すことができることが知られています。

C1、C2:係数、Tref:基準温度、T:温度
基準温度Tref = Tg とした場合には、C1 = 17.44、C2 = 51.6となることが経験的に知られています。
ガラス転移点(Tg)以下の挙動は、上記の係数C1 = 17.44、C2 = 51.6では、
T =Tg - 51.6 の温度で無限大に発散しますが、実際には発散しません。
ここでは、発散しないようにするため、ガラス転移点以下ではT =Tgの時に0、T =Tg -100℃の時に15となる
C1=-26.9691, C2 = -79.7938をシフト関数とします。
ガラス転移点(Tg)を元に、下記の係数を用いてシフト関数を作成します。
|
係数 |
ガラス転移点(Tg)以上 |
ガラス転移点(Tg)以下 |
|
C1 |
17.44 |
-26.9691 |
|
C2 |
51.6 |
-79.7938 |
|
Tref |
Tg入力値 |
Tg入力値 |
以下に、Tg = 140℃とした場合のシフト関数の例を示します。
実測データから算出したものと上記係数を指定してプロットしたものを表示しています。

完全には一致していませんが、Tg付近のシフトファクターは良く一致しています。
プロニー級数の作成方法
プロニー級数を作成するには、まず、マスターカーブ周波数依存性を取得する必要があります。
測定周波数frefのとき、温度Tは、ガラス転移点(Tg)を元に
上記で求めたシフト関数log10aTを用いて、以下の式で周波数fに換算することができます。

log10aT(T) :シフト関数、fref:測定周波数、f:周波数、T:温度
これにより、ヤング率温度依存性データからガラス転移点(Tg)における、貯蔵弾性率のマスターカーブを作成することができます。
「測定周波数を変えても温度依存性はほとんど変わらない」という仮定より、
測定周波数をfref = 1Hzとして換算します。
測定周波数が分かっている場合は、測定周波数を設定することもできます。
以下に、ガラス転移点(Tg) = 140℃の材料について、周波数特性に換算した例を示します。
![]() |
⇒ | ![]() |
上記で求めた貯蔵弾性率のマスターカーブを元に、粘弾性材料測定データの変換に示してある
「マスターカーブ周波数特性からプロニー級数への変換」の方法によりプロニー級数を求めます。
以下に例を示します。
ヤング率温度依存性データから求めたマスターカーブと、求めたプロニー級数を使用してプロットした貯蔵弾性率と損失弾性率をプロットしています。
プロニー級数を使用してプロットしたカーブがマスターカーブと一致していることが確認できます。

簡易設定の緩和特性の精度について
動的粘弾性測定により正確に見積もった粘弾性定数と、上記方法で簡易的に見積もった粘弾性定数を使用して、
90℃~190℃の温度における、0.01s、1.0s、100sまでの緩和挙動をプロットしたものを示します。
| 0.01[s] | ![]() |
| 1[s] | ![]() |
| 100[s] | ![]() |
大まかな傾向として、ガラス転移点(Tg)以上では、短い時間で急激に応力緩和が発生し、
ガラス転移点(Tg)以下では、応力緩和がほとんど発生せずほぼ一定を保つ傾向があります。
この性質については、簡易設定を行うことでも十分に再現できています。
正確な緩和挙動を再現できているかということに関しては、
1sについては、すべての温度について、よく一致していると言えますが、
ガラス転移点(Tg)よりも高温かつ、時間が短い領域、及び、
ガラス転移点(Tg)よりも低温かつ、時間が長い領域については、
簡易設定を行うことで違いが生じます。
これは、シフト関数が正確に再現できていないために生じています。
簡易設定使用例
「例題60 樹脂硬化後の冷却による基板反り解析」において、粘弾性設定を行った場合の解析と、簡易設定を行った場合の解析の比較を行っています。
基板の反り量がほぼ同じになることが確認できます。
このような、ガラス転移点以上から、ガラス転移点以下の温度まで温度を下げる解析においては、
簡易設定でも十分に再現できている、『ガラス転移点(Tg)以上では、短い時間で急激に応力緩和が発生し、ガラス転移点(Tg)以下では、応力緩和がほとんど発生せずほぼ一定を保つ』という性質が大きく影響しているため、精度良く解析できます。






