ホーム / 結果表示 / 結果フィールド / ユーザー定義フィールド / ユーザー定義フィールドの編集
ユーザー定義フィールドの編集
任意の計算式に基づいたフィールドを編集して作成することができる機能です。
既存のフィールドと四則演算や関数を用いて計算式を作ります。
1. フィールド作成の手順
①計算式の作成
・フィールドを選択して計算式に挿入
・関数を選択して計算式に挿入
・計算式欄を直接編集
により計算式を作成します。
②「計算式確認」ボタンをクリック
「計算式確認」ボタンをクリックすると、計算式のチェックが行われます。
計算式が正しくない場合、エラーとなります。エラーの内容に応じて再度計算式を見直してください。
計算式が正しい場合は、自動で出力確認の欄が記入されます。
③出力確認欄の修正
必要に応じて、結果名を分かりやすい名称に編集します。
単位や接頭辞の有無、テンソル表示タイプが、想定していたものと異なる場合、修正します。
④「OK」ボタンをクリック
ダイアログを閉じます。
OKがクリックできない状態の場合、「計算式確認」をクリックすることでOKがクリックできるようになります。
2. ユーザー定義フィールド編集ダイアログ

フィールドの選択
|
設定項目 |
解説 |
|
ファイル名
|
通常は、「現在開いている結果」と表示しており、使用しません。
他の結果ファイルのフィールドとの組み合わせで計算式を作りたい場合に使用します。
「他結果追加」ボタンを押下して追加したい計算結果ファイル(PDTファイル)を開きます。 ファイルを選択できるようになります。
他の結果を使用する場合は、計算式にその結果のファイルパスが表示されます。
|
|
解析タイプ |
解析タイプを切り替えます。 |
|
フィールド 微分演算 |
フィールドを切り替えます。
フィールドに対して微分演算することもできます。
スカラー量に対しては、勾配(ベクトル量) ベクトル量に対しては、勾配(テンソル量)、発散(スカラー量)、回転(ベクトル量) テンソル量に対しては、発散(ベクトル量) を指定することができます。
|
|
成分指定 |
フィールドがベクトル量、テンソル量の場合で、微分演算を行わない場合に指定することができます。
成分指定がOFFの場合は、ベクトル量、テンソル量のまま演算します。 成分指定がONの場合は、ベクトル、テンソルの成分を選択します。 |
|
モード指定 |
常にそのモードの値で計算したい場合に使用します。 成分指定がOFFの場合は、現在表示中のモードの値で計算します。 成分指定がONの場合は、指定したモードの値で計算します。 |
|
「フィールドを計算値に挿入」ボタン |
指定された項目のフィールドを計算式に挿入します。 フィールドやモード、成分等を表現する式が自動で入力されます。 フィールド等の表現式は「フィールド等の式一覧」に記載しています。
|
関数の選択
|
設定項目 |
解説 |
|
基本
|
チェックが入っている場合、関数名のコンボボックスにSIN、SQR、LOG等の基本的な関数リストが表示されます。 |
|
ベクトル/テンソル |
チェックが入っている場合、関数名のコンボボックスに、VEC_X、INNER_PRODUCT等のベクトル、テンソルに関する基本的な関数リストが表示されます。 |
|
関数名 |
コンボボックスから関数を選択することができます。 |
|
関数説明 |
表示されている関数について簡単な説明を記載しています。 |
|
「関数を計算式に挿入」ボタン |
指定された項目の関数を計算式に挿入します。
続けてフィールド等を挿入しやすいように、"VEC_X(" のようにかっこを閉じない状態で挿入されます。 かっこの内部の編集ができたら、計算式上で後から ")" を入力してください。
関数は「演算子、関数の一覧」に記載しています。 |
計算式
|
設定項目 |
解説 |
|
計算式をリセット |
計算式を空欄に戻します。 |
|
計算式欄 |
計算式が表示されます。 |
出力確認
|
設定項目 |
解説 |
||||||
|
結果名 |
計算式で定義されたフィールドの名前を指定します。 空欄の場合、「計算式確認」ボタンをクリックしたときに自動で適当な名前が入力されます。 結果名の入力は必須です。
|
||||||
|
単位 |
計算式で定義されたフィールドの単位を入力できます。
「計算式確認」ボタンをクリックしたときに自動で単位が入力されます。 自動で入力された単位が、想定と異なる場合、変更してください。
|
||||||
|
接頭辞 |
接頭辞あり:数値に応じて、G,M,k,m,uなどの接頭辞をつけて表示します。 接頭辞なし:数値をそのまま表示します。
「計算式確認」ボタンをクリックしたときに自動であり/なしの状態が入力されます。 自動で入力されたものが、想定と異なる場合、変更してください。
|
||||||
|
テンソル表示タイプ |
「計算式確認」ボタンをクリックしたときに自動でテンソル表示タイプが入力されます。 自動で入力されたものが、想定と異なる場合、変更してください。
それぞれの場合で以下の成分が表示されます。
|
||||||
|
出力フィールドタイプ |
計算式によって計算された結果が、 |
||||||
|
出力値 |
計算式によって計算された結果が、 想定と異なる場合は計算式を見直してください。 |
3. 表示例
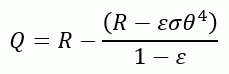
「例題16 影のある輻射解析(定常解析)」で輻射熱流束を表示します。
輻射熱流束は以下の式で表されます。

R:射度[W/m2]、ε:輻射率、θ:絶対温度( 温度 + 273.15 )[K]
σ[W/m2/K4]:シュテファン・ボルツマン定数(5.67 x 10^-8)
この場合、以下のような計算式となります。
この式はサンプルにも登録されています。「ユーザー定義サンプル」参照。

+(赤)は放熱、-(青)は吸熱をを表します。
下の面から放出した熱が、円盤と上の面の円盤と重なっていない箇所で吸熱されている様子が確認できます。








