Home / What Femtet Can Do / Details of Analysis Functions / Analysis with the Initial Stress Taken into Account
Analysis with Initial Stress Taken into Account
1. Analysis with Initial Stress Taken into Account
In the stress analysis and piezoelectric analysis, simulation is performed on the model where the stress already exists as an initial state.
It can be used in the resonant analysis, harmonic analysis, and transient analysis.
1: [Example 61: Resonant Analysis of Beam with Effect of Its Self Weight Taken into Account] (Stress analysis)

2: [Exercise 13: Tensile Force and Resonant Frequency] (Piezoelectric analysis)

3: [Example 18: Effect of Tensile Force] (Piezoelectric analysis)

4: Example 19: Tensile Force and Resonant Frequency (Harmonic Analysis) (Piezoelectric analysis)

Here in this section, a resonant harmonic analysis is explained with initial stress taken into account.
By taking the initial stress into account, this analysis can be performed for the following two cases.
Stress Stiffening
The pitch of sound of the stringed instrument, such as guitar, is adjusted by pulling the string.
If the string is pulled tightly, the pitch will be high. If the string is loosened, the pitch will be low.
It indicates that when the string is pulled tightly, the tensile stress is created in the string. It makes the string apparently stiffer, and the resonant frequency becomes higher.
This phenomenon is simulated by this analysis.
Stiffening can be solved that is caused by various factors such as self weight and thermal stress in addition to the mechanical load.
Form after Deformation
Analysis can be performed using a model's form after deformation.
The dimensions of an object change after the deformation by the thermal expansion.
As the resonant frequency is determined by the model's dimensions, it changes if the temperature changes.
This phenomenon is simulated by this analysis.
In this analysis, in addition to the dimension change, the following two points are taken into account.
|
Item |
Details |
|
Density Change |
Deformation does not change the mass while it changes the volume. The density after the deformation is adjusted by the equation below.
Mass = Initial density x Initial volume = Density after deformation x Volume after deformation Density after deformation = (Initial volume / Volume after deformation) x Initial density |
|
Material Rotation |
If a rotation occurs partially in the anisotropic material, the material direction changes too. The material direction after rotation is taken into account. |
[Analysis with Deformed Shape] and [Analysis with Deformed Meshes] have similar functions but these analyses do not take the stiffness change, density change, and material rotation into account.
2. Analysis Method
This analysis is performed in two stages.
The analysis is performed on the assumption that the governing strain and stress are in the Analysis 1 and those in the Analysis 2 are minute compared to the Analysis 1.
Analysis 1: Static Analysis to Solve the Initial Stress
Solve the displacement and the stress with the static analysis.
The results of stress analysis and piezoelectric analysis can be used.
Analysis 2: Analysis with Initial Stress Taken into Account
Using the data of displacement and stress that are obtained in the Analysis 1, the analysis is performed with initial stress taken into account.
If the external load is applied in the Analysis 1, Analysis 2 is performed assuming the load is always applied.
For a stringed instrument, the analysis is performed assuming the string is pulled.
Only piezo-resonant analysis can perform Analyses 1 and 2 consecutively with one analysis model. ([Example 13: Tensile Force and Resonant Frequency])
For other analysis types, two analysis models are needed for Analyses 1 and 2.
![]() |
|
Two analysis models: Initial stress analysis for Analysis 1 and resonant analysis for Analysis 2 |
If the results of other project is used for Analysis 1, results file(.pdt) can be specified for the analysis.
Only piezoelectric analysis can select static analysis for Analysis 2. ([Example 18: Effect of Tensile Force]) In the stress analysis, large deformation is used for analysis.
3. Procedure
The following is a general procedure in the stress analysis.
|
Set up static analysis for Analysis 1 and execute.
|
|
|
Copy the analysis model into a project for Analysis 2. (Right click on the analysis model on the project tree, and click [Copy into Project].)
|
|
|
Set up analysis conditions as follows.
・Stress Analysis Tab Analysis type: Resonant analysis or harmonic analysis Options: Select initial stress (results import).
・Results Import Tab Specify Results: Specify Analysis Model: Select the model name of Analysis 1. *If initial stress is selected on the stress analysis tab, the import type is set to initial stress automatically
Change the boundary condition as needed. |
|
|
Run the solver with Analysis model 2.
|
|
4. Results
Results Field
The results of Analyses 1 and 2 can be viewed in the results field.
In the resonant analysis and harmonic analysis, Analysis 2 is shown as vibration component and Analysis 1 is shown as initial stress component.
![]() |
|
Analysis type display for resonant and harmonic analyses |
Please be aware that the displacement of the Analyses 1 is not included in the displacement of the Analysis 2.
The results of Analyses 1 and 2 can be summed up and displayed by using User-Defined Field.
Displacement Diagram
The displacement diagram of Analysis 2 takes the displacement of Analysis 1 into account.
Scale factor can be applied to Analysis 2 only. The displacement of Analysis 1 is not adjusted.
![]() |
|
Example: The displacement diagram of resonant analysis after 90° rotation by the initial stress component |
5. Matrix Equations for Analysis with Initial Stress Taken into Account
Matrix equations for Analysis 2 are shown below.
The updated Lagrangian formulation is applied using the state after the deformation in Analysis 1 as a reference. (See [Analysis of Large Deformation (Geometric Nonlinearity)] for details)
The equations are expressed assuming the stress analysis is performed.
In the piezoelectric analysis, the basic idea of matrix creation is same. The difference is that in the piezoelectric analysis, the unknown electric potential is used in addition to the unknown displacement and the item [Z] of acoustic impedance is added.
(For details, refer to [Matrix Equations for Piezoelectric Analysis].)
Harmonic Analysis (Applicable in Piezoelectric Analysis Only)

[K] is the tangent stiffness matrix, which is related to the material's elasticity and displacement in Analysis 1.
[KG] is the geometric stiffness matrix, which is related to the displacement and stress in Analysis 1.
{Δf} is the load vector variation from Analysis 1, which is related to the displacement boundary and the load boundary.
{Δu} is the displacement vector variation from Analysis 1, which is the unknown.
By solving this equation, the displacement variation is acquired. Then the strain and the stress are solved.
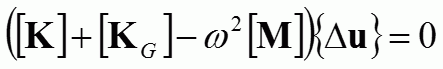
Resonant Analysis

[K] is the tangent stiffness matrix, which is related to the material's elasticity and displacement in Analysis 1.
[KG] is the geometric stiffness matrix, which is related to the displacement and stress in Analysis 1.
[M] is the mass matrix, which is related to the material's density and displacement in Analysis 1.
{Δu} is the vibration component of displacement vector, which is the unknown.
ω is the angular frequency, which is another unknown.
The eigenvalues and eigenvectors of this equation are the frequencies and
the corresponding displacement vibration components. Their distribution is acquired.
Harmonic Analysis

[K] is the tangent stiffness matrix, which is related to the material's elasticity and displacement in Analysis 1.
[KG] is the geometric stiffness matrix, which is related to the displacement and stress in Analysis 1.
[M] is the mass matrix, which is related to the material's density and displacement in Analysis 1.
{Δf} is the vibration component of load vector, which is related to the displacement boundary and the load boundary.
ω is the angular frequency, which is given as an analysis condition of harmonic analysis.
{Δu} is the vibration component of displacement vector, which is the unknown.
It is presumed that the vibration components of both displacement and load vibrate at the frequency of ω.







