Home / Technical Notes / Stress Analysis / Stress Transient Analysis
Stress Transient Analysis
The Newmark method and coefficients of Rayleigh damping are explained here.
(Note) The stress transient analysis is available in an optional package.
Equation of Motion

This equation is solved for the stress transient analysis as explained in [Matrix Equations for Stress Analysis].
The Newmark method is used to solve this equation.
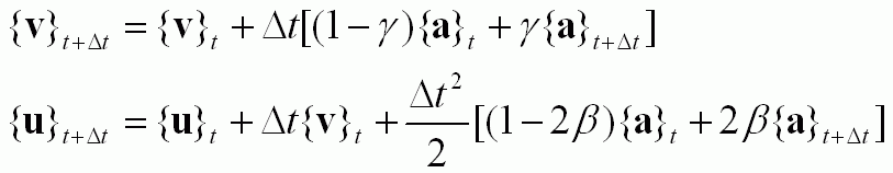
Newmark Method
Given the values at time t,
the velocity and the displacement at time t+⊿t are:

By using these equations, the equation of motion can be written as,

Parameters γ and β can be set manually or automatically.
[K] is the stiffness matrix, which is related to the material's elasticity and density and coefficients of Rayleigh damping.
{f} is the load vector, which is related to the displacement boundary, the load boundary, the density and coefficients of Rayleigh damping.
{Q} is the internal force vector, which represents the strains and stresses resulting from the previous step.
{Δu} is the displacement increment vector, which is the unknown.
Nonlinear Analysis
The following are nonlinear analysis.
1) Analysis of Large Deformation (Geometric Nonlinearity).
2) Analysis of Nonlinear Materials
The stiffness matrix, the load vector and the internal vector vary before and after the increment in nonlinear analysis.
Therefore, the displacement increment vector cannot be obtained with just a single calculation.
The calculation is repeated multiple times until the reasonable incremental value is obtained.
This is called the Newton-Raphson method.
See [The Newton-Raphson Method and Convergence Judgment in Stress Analysis].
Coefficients of Rayleigh Damping
The damping is taken into account when coefficients of Rayleigh damping are non-zero.
The relationship of the damping matrix and coefficients of Rayleigh damping is as follows.

The damping matrix [C] is given by the mass matrix [M] and the stiffness matrix [K].
If constants α and β are both zero, there will be no damping.
Those constants can be set in the analysis condition or on each body attribute.
If Rayleigh damping is considered to be the damping effect on the frequency component of vibration,
Mechanical loss tangent (tanδ) is expressed with angular frequency ω as follows. (Refer to [Mechanical Damping] for derivation of equations.)

As an example, frequency dependency of tanδ is shown below with α=0.1 [/s] and β=0.1 [s]
where α is damping of low frequency vibration and β is damping of high frequency vibration.



