ホーム / Femtetでできる解析 / 解析機能の詳細 / 初期応力を考慮した解析
初期応力を考慮した解析
1.初期応力を考慮した解析
応力解析・圧電解析において、内部に応力が発生している状態を基準とした解析を行います。
例1:「例題61 自重によるたわみを考慮した梁の共振解析」(応力解析)

例2:「例題13 張力と共振周波数」(圧電解析)

例3:「例題18 張力の影響」(圧電解析)

例4:「例題19 張力と共振周波数(調和解析)」(圧電解析)

ここでは、共振解析・調和解析の初期応力を考慮した解析について説明します。
初期応力を考慮することにより、以下の2点のような解析が可能です。
応力による剛性の変化(ストレススティフニング)
ギター等の弦楽器では、弦を引っ張った状態にすることで音の高さを調節します。
強く引っ張った状態で音を鳴らすと高い音が発生し、緩めると低い音が発生します。
これは、強く引っ張ったときには弦の内部に引張応力が発生していることで、見かけ上硬くなり、共振周波数が上がっていることを意味します。
このような解析を行う場合にこの機能を使用します。
機械的荷重だけでなく、自重、熱応力といった様々な要因による剛性の変化の影響を解析することができます。
変形後の形状を用いた解析
「初期応力を考慮した解析」という名称の機能ですが、変形後の形状を用いた解析としても使用できます。
熱膨張により変形した状態では、寸法が変化します。
共振周波数は寸法によって決まるため、温度が変化したときには、共振周波数が変化します。
このような解析を行う場合にこの機能を使用します。
この解析では寸法の変化と同時に以下の2点が考慮されます。
|
項目 |
詳細 |
|
密度の変化 |
変形によって体積が変化した場合、変形によって質量は変わらないことから、変形後の密度は以下の式で補正されます。
質量 = 初期密度 x 初期体積 = 変形後密度 x 変形後体積 変形後密度 = ( 初期体積 / 変形後体積 ) x 初期密度 |
|
材料の回転 |
異方性の持つ材料では、局所的な回転が起こった場合、材料の向きも変化します。 回転後の材料の向きを考慮した解析が行われます。 |
類似機能である「変形形状を考慮した解析」「変位メッシュを用いた解析」では剛性の変化、密度の変化、材料の回転は考慮されません。
2.解析方法
この解析は2段階に分けて行なわれます。
『解析①によるひずみ、応力が支配的であり、解析②によるひずみ、応力は解析①に対して微小である』
という仮定での解析になります。
解析①:初期応力を求めるための静解析
静解析を実施し、変位、応力を求めます。
応力解析・圧電解析どちらの結果でも使用できます。
解析②:初期応力を考慮した解析
解析①の結果得られた、変位、応力データを用い、初期応力を考慮した解析を行います。
解析①で外部から荷重を与えていた場合、解析②の間も、常に荷重が加えられた状態を想定して解析が行われます。
楽器の弦の例の場合、弦を引っ張った状態を想定しての解析となります。
圧電解析の共振解析のみ、一つの解析モデルで解析①、解析②を続けて行うことができます。(「例題13
張力と共振周波数」)
それ以外の解析では、解析①用の解析モデル、解析②用の解析モデルの二つが必要となります。
![]() |
|
解析①:初期応力解析、解析②:共振解析の二つの解析モデル |
別のプロジェクトで解析した結果を解析①として利用する場合、解析結果ファイル(PDTファイル)を指定して解析することもできます。
圧電解析のみ、解析②で静解析を選ぶことができます(「例題18
張力の影響」)。応力解析では、大変形解析の機能を使用して同様の解析が可能です。
3.解析手順
以下に応力解析での一般的な解析手順を示します。
|
解析①の静解析の設定を行い、解析を実行します。
|
|
|
解析①のモデルをプロジェクト内に複製し、解析②のための解析モデルを用意します。 (プロジェクトツリーの解析モデル上で右クリック>プロジェクト内に複製を選択)
|
|
|
解析②の解析条件を以下のように設定します。
・応力解析タブ 解析の種類:共振解析、もしくは、調和解析 オプション:初期応力(結果インポート)にチェック
・結果インポートタブ 結果の指定方法:解析モデル指定:解析①の解析モデル名を選択 l※応力解析タブで初期応力にチェックしている場合、インポートの種類は自動的に初期応力になります。
必要に応じて境界条件を設定します。 |
|
|
解析②の解析を実行します。
|
|
4.解析結果
計算結果フィールド
解析①の結果と解析②の結果を見ることができます。
共振解析・調和解析の場合、解析②が振動成分、解析①が初期応力成分として表示されます。
![]() |
|
共振解析・調和解析の場合の解析タイプ表示 |
解析②の変位は解析①の変位を含みませんので、注意してください。
解析①と解析②を足し合わせた結果はユーザー定義フィールドを用いて表示することができます。
変位図
解析②で変位図を表示した場合、解析①の変位も考慮したものが表示されます。
補正倍率を設定している場合は、解析②のみに補正倍率が適用され、解析①の変位には補正倍率はかかりません。
![]() |
|
例:初期応力成分で90°回転した後の共振解析の変位図 |
5.初期応力を考慮した解析の行列方程式
以下に、解析②の行列方程式を示します。
解析①で変形した後の状態を基準とするアップデイトラグランジュの定式化(「大変形(幾何学的非線形)の解析」参照)を行っています。
応力解析を想定した表現としています。
圧電解析では、変位未知数に電位未知数が追加されたり、音響インピーダンスの項[Z]等が追加されたりしますが基本的には同じ考え方で行列が作成されます。
(圧電解析の行列方程式は、「圧電解析の行列方程式」参照)
静解析(圧電解析のみ)

[K]は接線剛性行列であり、弾性定数、解析①の変位がこの行列に反映されます。
[KG]は幾何剛性行列であり、解析①の変位、応力がこの行列に反映されます。
{Δf}は荷重ベクトルの解析①の状態からの変化量であり、変位境界、荷重境界などはこのベクトルに反映されます。
{Δu}は変位ベクトルの解析①の状態からの変化量であり、この方程式の未知数です。
この行列方程式を解くことで、変位の変化量を求め、その変位からひずみ、応力の変化量を求めることができます。
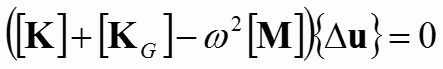
共振解析

[K]は接線剛性行列であり、弾性定数、解析①の変位がこの行列に反映されます。
[KG]は幾何剛性行列であり、解析①の変位、応力がこの行列に反映されます。
[M]は質量行列であり、密度、解析①の変位がこの行列に反映されます。
{Δu}は変位ベクトルの振動成分であり、この方程式の未知数です。
ωは角周波数であり、これもこの方程式の未知数です。
この固有方程式を解くことで、固有値である周波数と、それに対応する固有ベクトルである
変位振動成分の分布を知ることができます。
調和解析

[K]は接線剛性行列であり、弾性定数、解析①の変位がこの行列に反映されます。
[KG]は幾何剛性行列であり、解析①の変位、応力がこの行列に反映されます。
[M]は質量行列であり、密度、解析①の変位がこの行列に反映されます。
{Δf}は荷重ベクトルの振動成分であり、変位境界、荷重境界などはこのベクトルに反映されます。
ωは角周波数であり、調和解析ですので既知です。
{Δu}は変位ベクトルの振動成分であり、この方程式の未知数です。
この行列方程式は変位と荷重の振動成分がいずれも各周波数ωで振動しているという前提で導かれています。







