ホーム / 解析条件の設定 / 解析条件タブ一覧 / 過渡解析タブ
過渡解析タブ
過渡解析の条件を設定するタブです。
[解析条件の設定]ダイアログに表示されます。ダイアログの表示方法は「解析条件の設定」を参照してください。
|
設定項目 |
解説 |
|||||||||||||||||||
|
時間ステップ |
[ステップ数]に入力できる値は1以上の整数です。 [出力間隔]に入力できる値は1以上の整数です。 [時間ステップ]に入力できる値は0より大きい実数です。
[テーブル表示]ボタンを押すと、時間テーブルウィンドウが開きます。 時刻と各境界条件機械タブ、熱タブ、電気タブ、ボディ属性発熱量タブで設定された重み関数の関係を表示することができます。
|
|||||||||||||||||||
|
リスタート |
『前回の続き』をチェックすると前回計算した最終ステップから引き続き計算することができます。
磁場解析、音波解析、圧電解析(共振モード利用の過渡解析)では使用できません。 |
|||||||||||||||||||
|
初期温度 |
熱伝導過渡解析においてモデル全体の初期温度を指定します。モデルの温度は時間経過と共に変化していきます。
分布取込にチェックが入っている場合、
分布データをクリックすると、分布データの編集ダイアログが開かれます。
|
|||||||||||||||||||
|
初期速度 |
応力過渡解析において初期速度を設定することができます。 初期速度はボディ属性毎に設定することもできます。 分布取込にチェックが入っている場合、 分布データをクリックすると、分布データの編集ダイアログが開かれます。 (注)応力過渡解析は特別オプション機能です。 |
|||||||||||||||||||
|
レイリー減衰係数 |
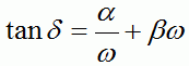
応力過渡解析においてレイリー減衰係数を設定することができます。 レイリー減衰係数はボディ属性毎に設定することもできます。 レイリー減衰を振動の周波数成分に対する減衰の効果と考えると、
周波数-機械的損失正接グラフをクリックすると、機械的損失正接の周波数特性を確認することができます。 αは低周波振動の減衰、βは高周波振動の減衰を表します。 βを設定することで、高周波振動ノイズを除去して解析することができます。 レイリー減衰係数に関する詳細についてはテクニカルノート「応力過渡解析」「応力解析における減衰」をご参照ください。 (注)応力過渡解析は特別オプション機能です。 |
|||||||||||||||||||
|
求解法 |
音波解析における時間方向の求解法を選択します。 陽解法と陰解法が選べます。陽解法は精度重視の求解法で、陰解法は解析速度重視の求解法となります。
陽解法では高速モードが選択できます。高速モードではフィールドが伝搬していない領域を自動的に解析領域 から除外することで解析速度の高速化を図ります。フィールドが伝搬していると判断する閾値を誤差により設定 することができます。閾値は入力される最も大きいフラックス(音響インテンシティ)×誤差となります。 |








